Fig. 10
From: Seismic wave reflection characteristics and wave-induced fluid flow in unsaturated porous solid

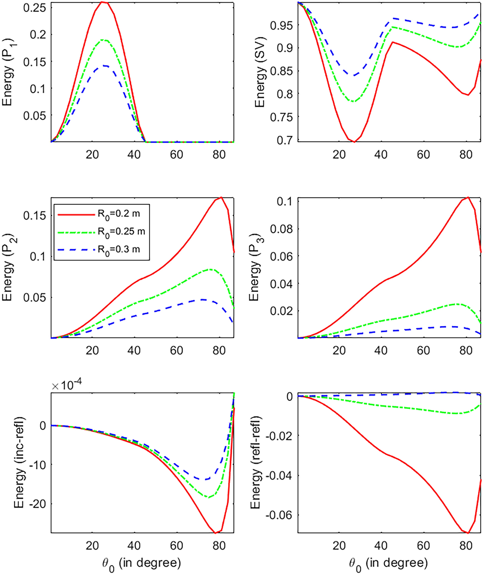
Energy shares as a function of the incidence direction \((\theta _0)\) with different inclusion radius (incident SV wave).
From: Seismic wave reflection characteristics and wave-induced fluid flow in unsaturated porous solid

Energy shares as a function of the incidence direction \((\theta _0)\) with different inclusion radius (incident SV wave).