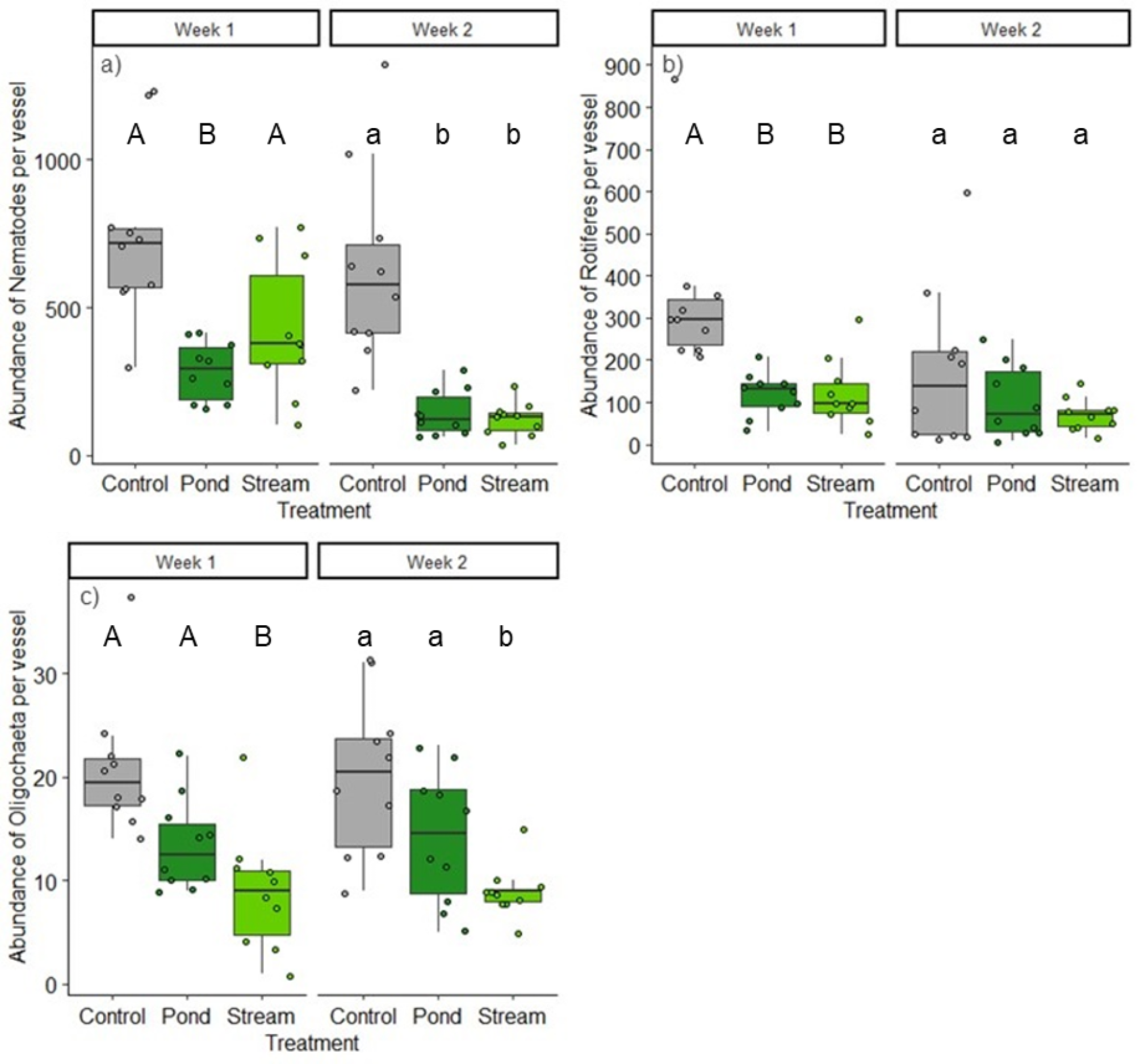
Fig. 3

Abundance of nematodes (a), rotifers (b) and oligochaetes (c) per microcosm after week 1 (top) and week 2 (bottom). Boxplots showing the upper (75%) and lower (25%) quartiles and the median (horizontal line) for the ten replicates (shown as dots) from the controls and the treatments with pond or stream larvae. Different letters above the plots indicate significant differences (p < 0.05; we tested not between the weeks).