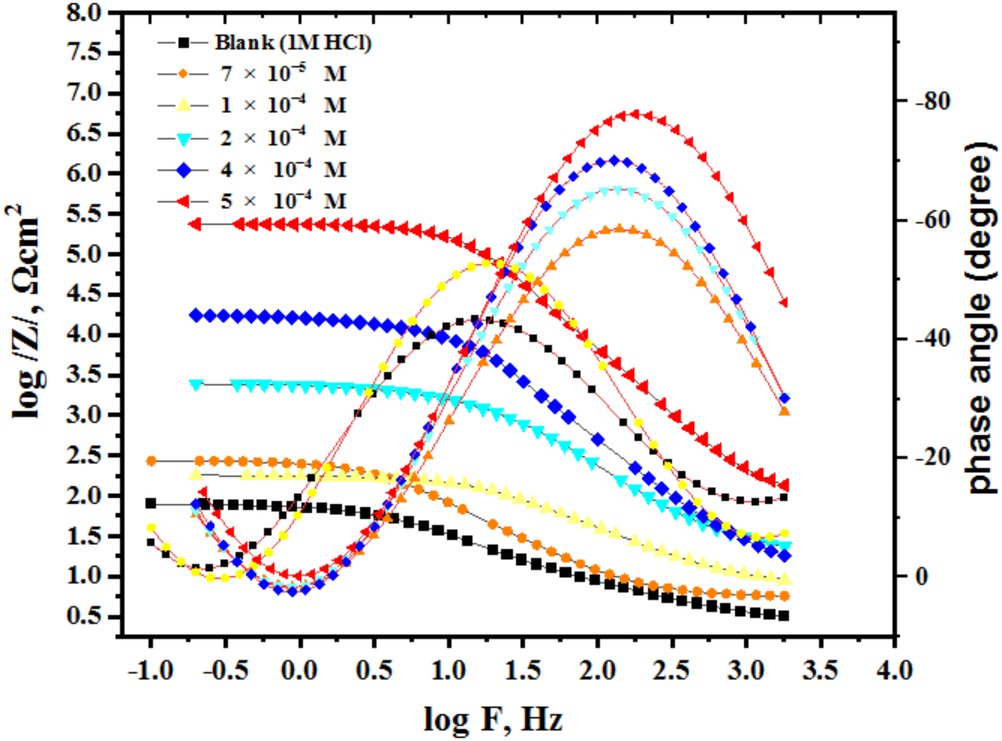
Fig. 6

Bode and phase diagram for MS surface in 1 M HCl in the absence and presence of various concentrations of AEET at room temprature.

Bode and phase diagram for MS surface in 1 M HCl in the absence and presence of various concentrations of AEET at room temprature.