Fig. 3

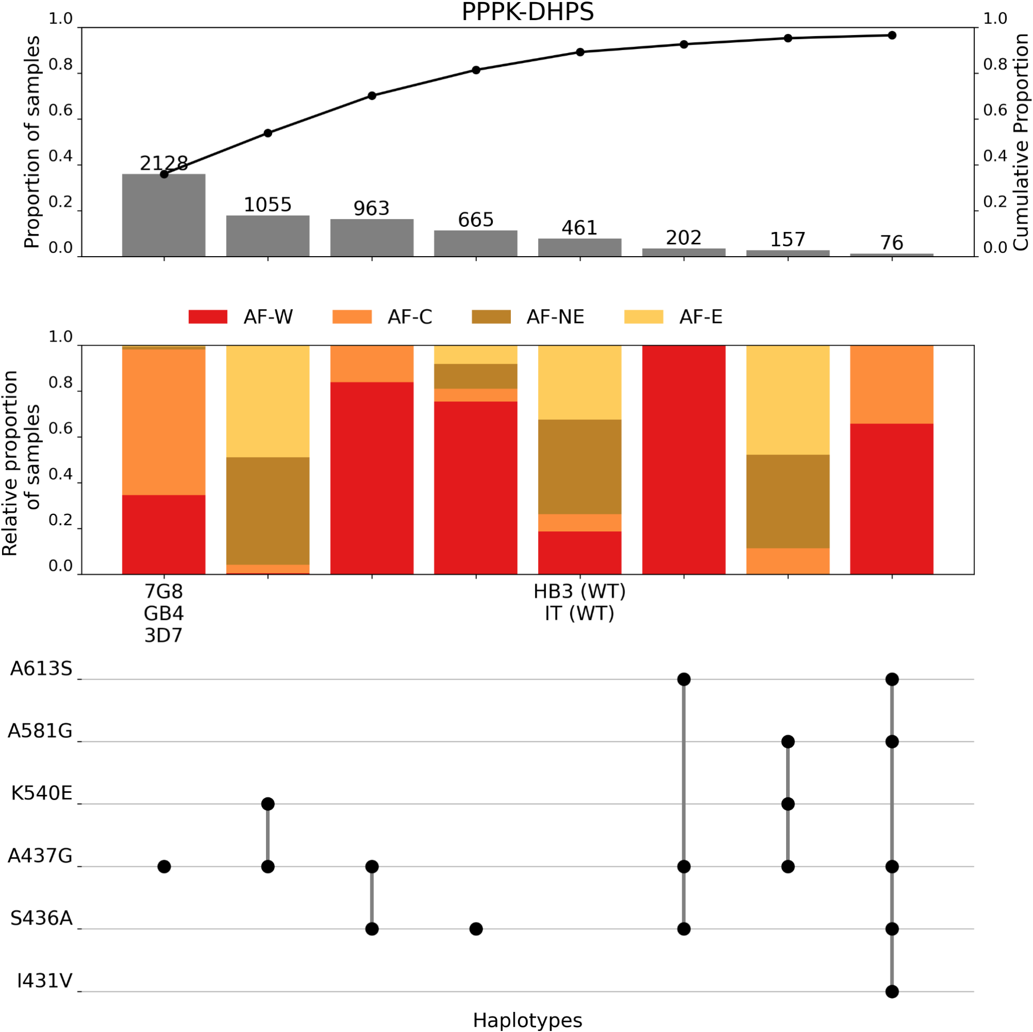
Summary of the eight most frequent dhps haplotypes across 21 African countries. The frequency of each haplotype, in terms of sample count (number above the bar), frequency across the dataset (1st y-axis), and cumulative proportion of samples (2nd y-axis) is shown in the first panel. The proportion of each haplotype assigned to each of the major African subpopulations is shown in the second panel (AF-W = west Africa, AF-C = central Africa, AF-NE = northeast Africa, AF-E = east Africa). The final panel illustrates the individual amino acid mutations contributing to each unique haplotype. The HB3 and IT strains represent the wild type (WT) haplotype, so no mutations are shown here.