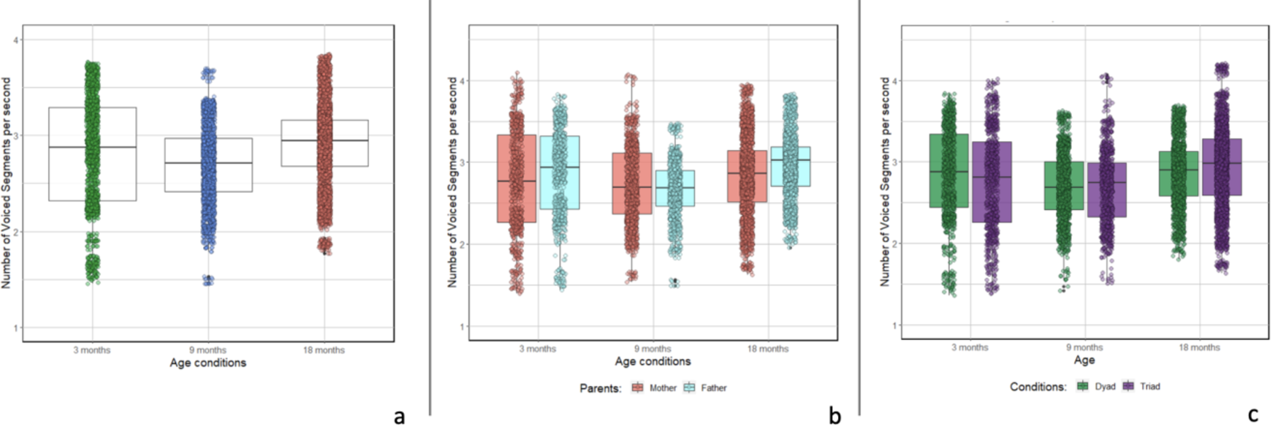
Fig. 1

Voiced segments per second across different conditions. Panel (a) shows the voiced segments per second in all conditions at three time points: 3, 6, and 18 months. Panel (b) compares the voiced segments per second in mother-infant and father-infant directed speech. Panel (c) presents the comparison between the two conditions (two- and three-person) for both mothers and fathers across the different time points. Data points represent individual participants, and error bars indicate standard error. Differences in voiced segments per second across conditions are interpreted in the context of parental interaction styles and the child’s age during observation.