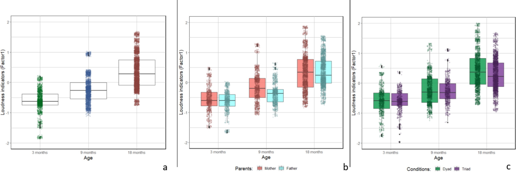
Fig. 3

Intensity of vocalizations across age and different conditions. Panel (a) shows the general effect of age on intensity, with significant increases observed between 3 and 9 months, and 9 and 18 months. Panel (b) presents the interaction between parent (mother/father) and age, highlighting a significant increase in intensity, particularly for mothers, between 3 and 9 months, and a marginal increase from 9 to 18 months. Panel (c) illustrates the interaction between condition (two- and three-person) and age, showing higher intensity values in the three-person condition at 18 months, with significant differences between 3 and 18 months, and 9 and 18 months. Data points represent individual participants, and error bars indicate standard error. Differences in intensity across age, parental roles, and conditions are discussed in the context of parental interaction styles and child development.