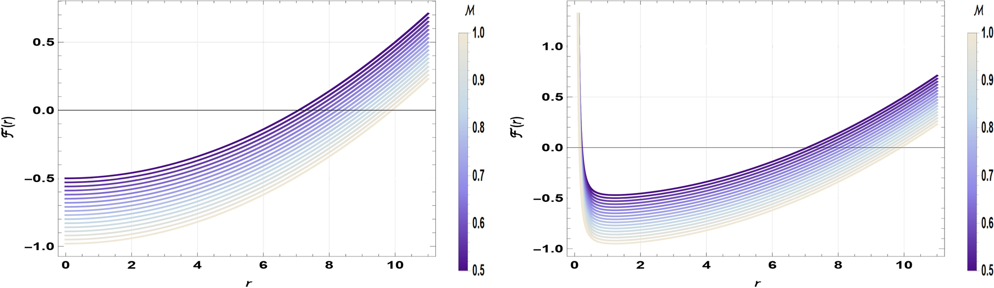
Fig. 1

Study of the lapse function for distinct choices of physical parameters such as for BTZ BH \(\mathcal {J}=0,\mathcal {B}=0,\mathcal {L}=10\) (left plot) and rotating BTZ BH \(\mathcal {J}=0.3,\mathcal {B}=0,\mathcal {L}=10\) (right plot) by varying mass of the BH.