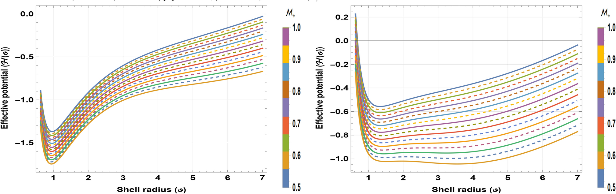
Fig. 11

Effective potential related to the massive scalar shell for \(\gamma =0.52\) (left plot) and \(\gamma =0.8\) (right plot) by varying \(\mathcal {M}\text{ }_+\) with \(\mathcal {M}_-=0,\mathcal {J}=1,p_0=0.5,\mathcal {L}=10,p_0=0.5,\beta =0.2,\mathcal {B}=0.5\).