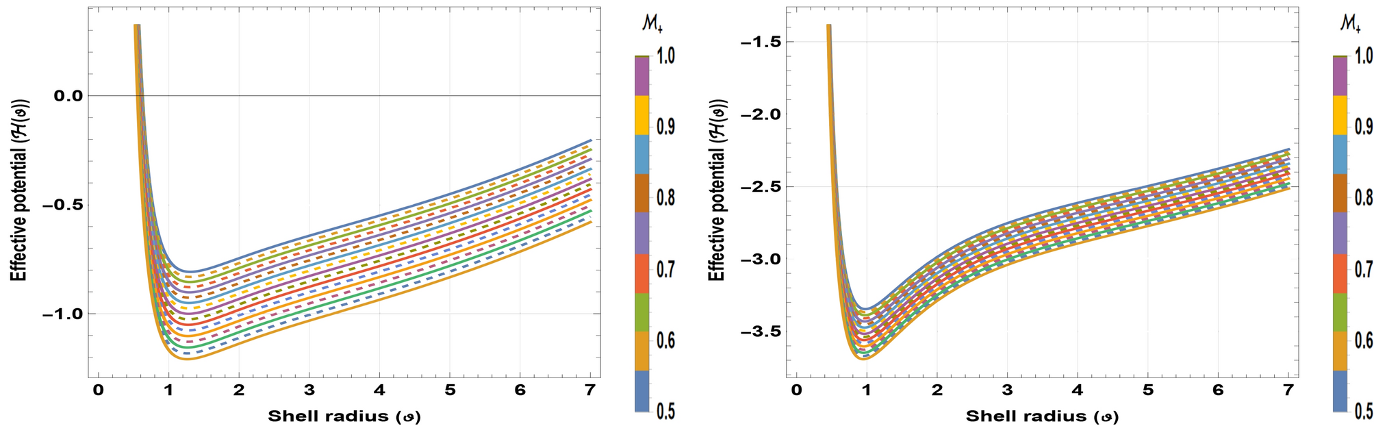
Fig. 9

Effective potential related to the massive scalar shell for \(\beta =0.4\) (left plot) and \(\beta =1\) (right plot) by varying \(\mathcal {M}\text{ }_+\) with \(\mathcal {M}\text{ }_-=0,\mathcal {J}=1,\mathcal {L}=10,P_0=0.5,\mathcal {B}=0.5,\gamma =1\).