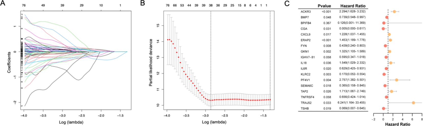
Fig. 2

Construction of an immune-related gene signature using the TCGA cohort. (A) Profiles of LASSO regression coefficients and (B) the optimal log lambda for immune-related genes identified through univariate Cox regression analysis. (C) Forest plot depicting the immune-related gene signature analyzed via multivariate Cox regression.