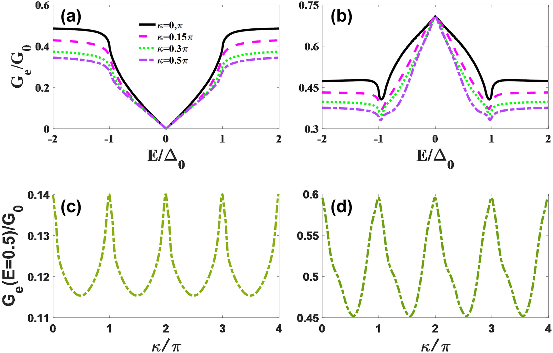
Fig. 7

(a,b) The normalized charge conductance as a function of E for different barrier strengths \(\kappa\). (c,d) The normalized charge conductance as a function of values of barrier strength \(\kappa\) at \(E=0.5\). (a–c) \(\theta _n=\varphi _n=\theta _m=\varphi _m=0\), (b–d) \(\theta _n=\varphi _n=0\) and \(\theta _m=\varphi _m=0.5\pi\). We set \(\mu =\mu _j=100\Delta _0\), \(h_n=\mu\), \(h_m=10\Delta _0\).