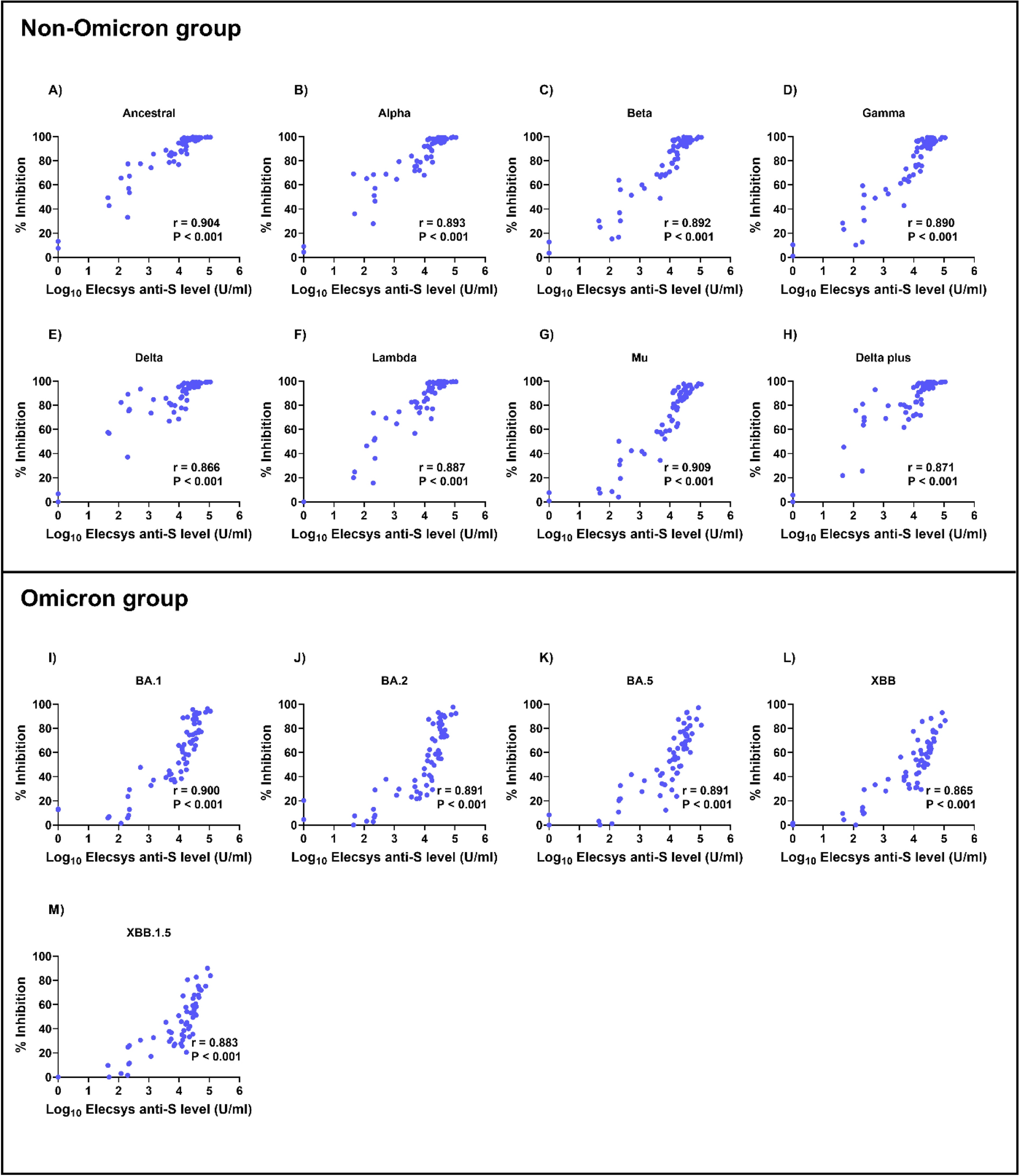
Fig. 7

Correlation between RBD-ACE2 blocking and anti-spike antibody levels on day 28 in patients with COVID-19. Blocking antibodies were detected using the sVNT assay30, whereas anti-spike antibodies were measured using the Elecsys® anti-spike assay. The pairwise correlation coefficient (r) was determined using Spearman’s rank correlation.