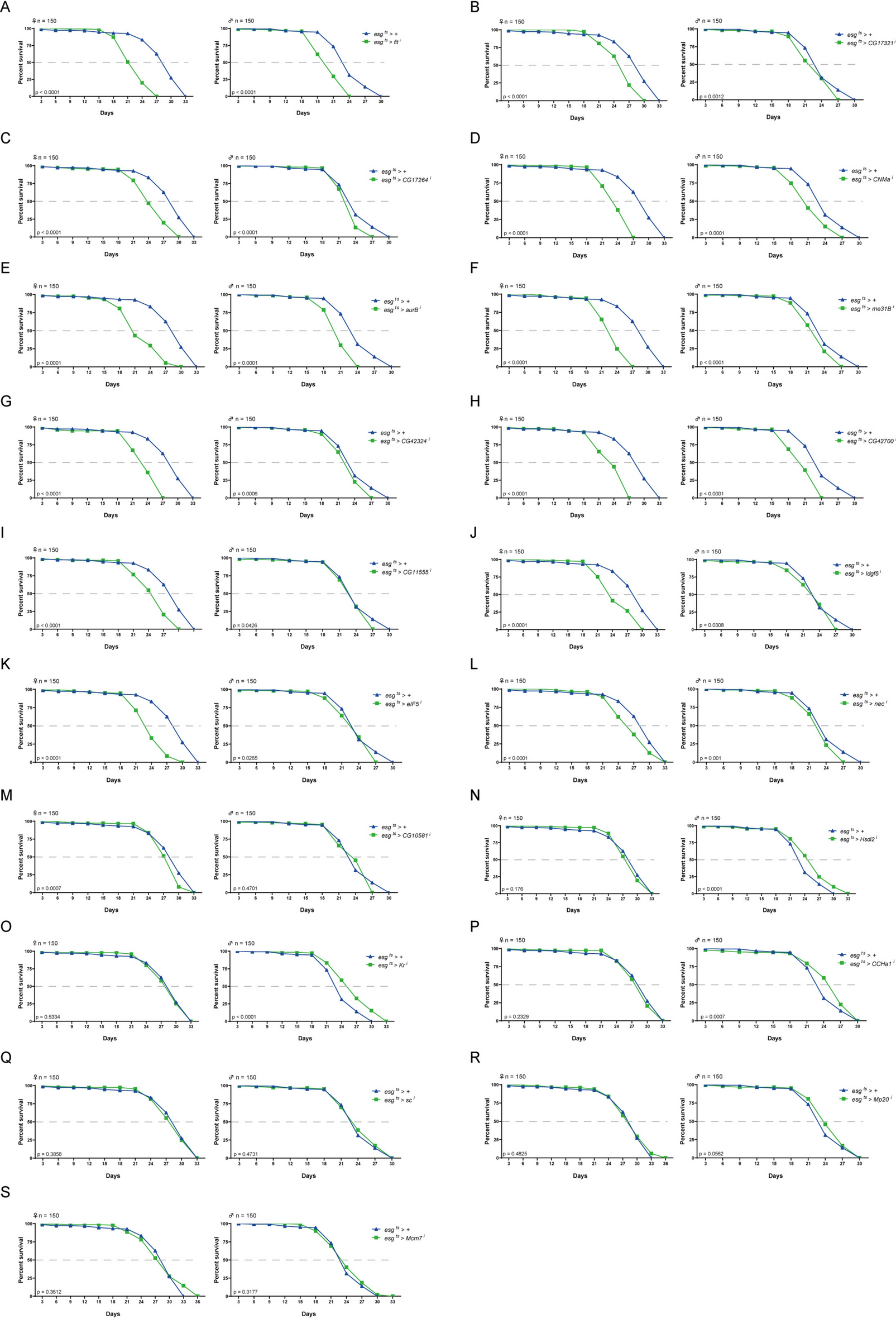
Fig. 5

ISC/EB-specific knockdown of genes expression reduces lifespan. Survival curves of flies with indicated genotypes (n = 150 per group) following ISC/EB-specific knockdown driven by esg ts > Gal4. Survival curves of flies were shown as the following: fit (A), CG17321 (B), CG17264 (C), CNMa (D), aurB (E), me31B (F), CG42324 (G), CG42700 (H), CG11555 (I), Idgf5 (J), eIF5 (K), nec (L), CG10581 (M), Hsdl2 (N), Kr (O), CCHa1 (P), sc (Q), Mp20 (R) and Mcm7 (S).