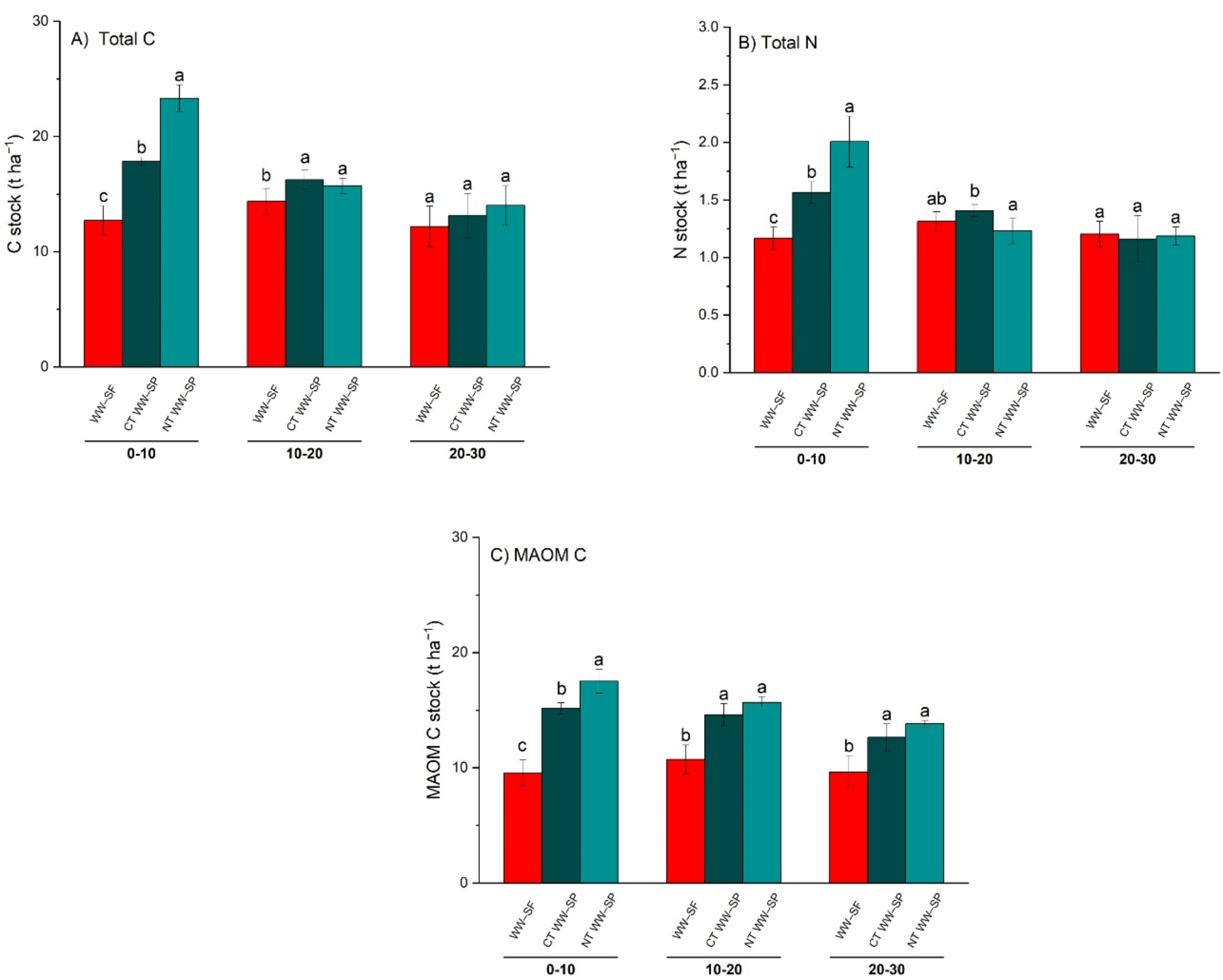
Fig. 3
From: Legume-based rotation enhance long-term soil carbon storage in eastern Oregon dryland wheat systems

Changes in total Carbon (C) and nitrogen (N) stocks (t ha⁻¹) across different soil depths. (A) Total C in bulk soil, (B) Total N in bulk soil, and (C) Total C in mineral-associated organic C fraction (MAOM C) per 10 cm depth increments across three cropping systems: conventional tillage (CT) winter wheat–summer fallow systems (WW–SF) (samples collected in 2015, maintained for 84 years), and winter wheat–spring pea systems (WW–SP) (samples collected in 2021, maintained for 58 years), under CT and no-till (NT). Statistical analysis (± SD (N = 4) was conducted using one-way ANOVA followed by Tukey’s post-hoc test (p < 0.05).