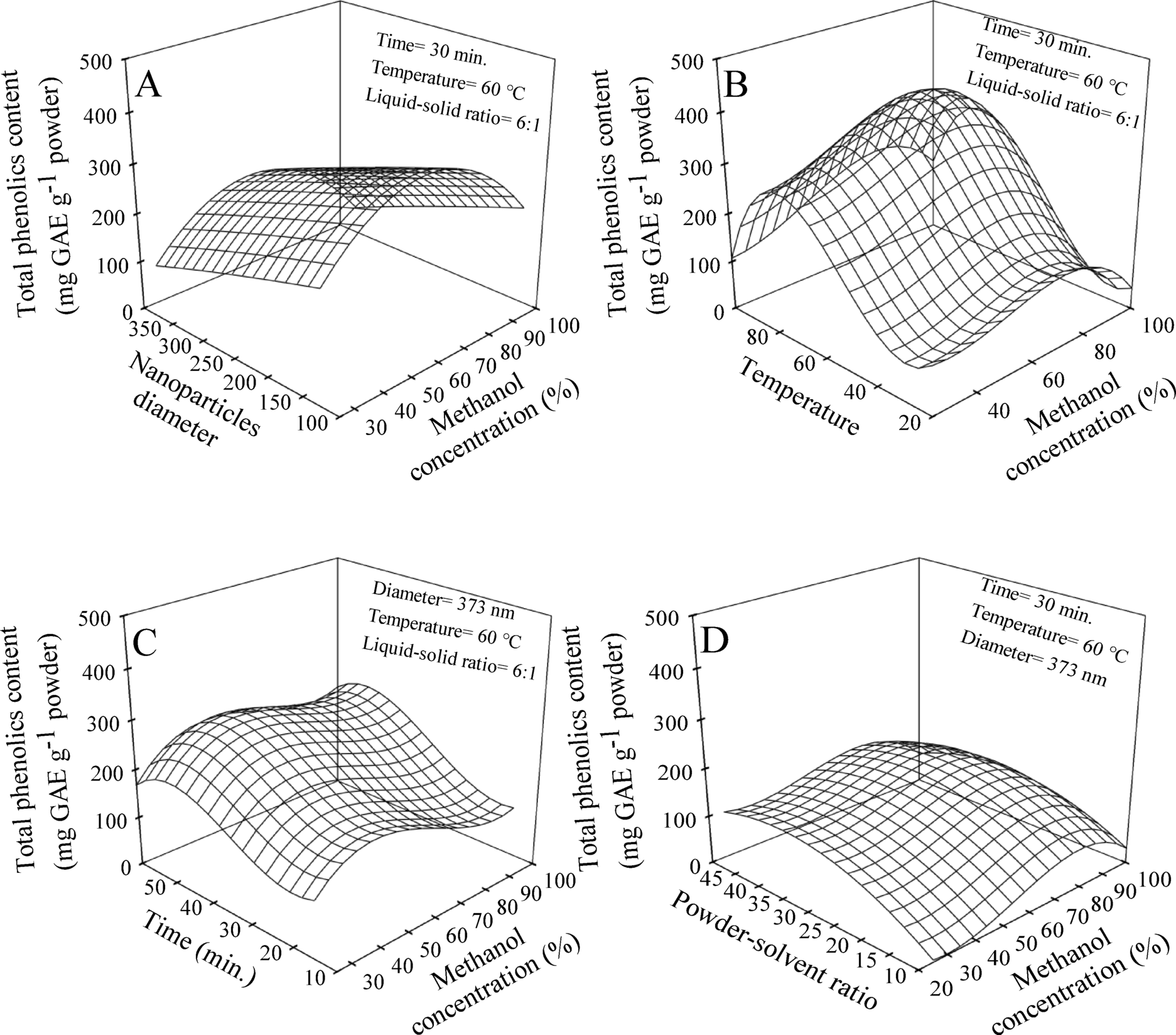
Fig. 5
From: Boosting antioxidative polyphenols extraction efficiency via nano sized pomegranate peel particles

Response surface of total phenolics extraction yield affected by methanol concentrations versus nanoparticles diameter (A), temperature (B), time (C), and powder-solvent ratio (D).