Fig. 2
From: Sleep-disordered breathing profiles in patients with cardiovascular diseases: Kurume SDB-CVD study

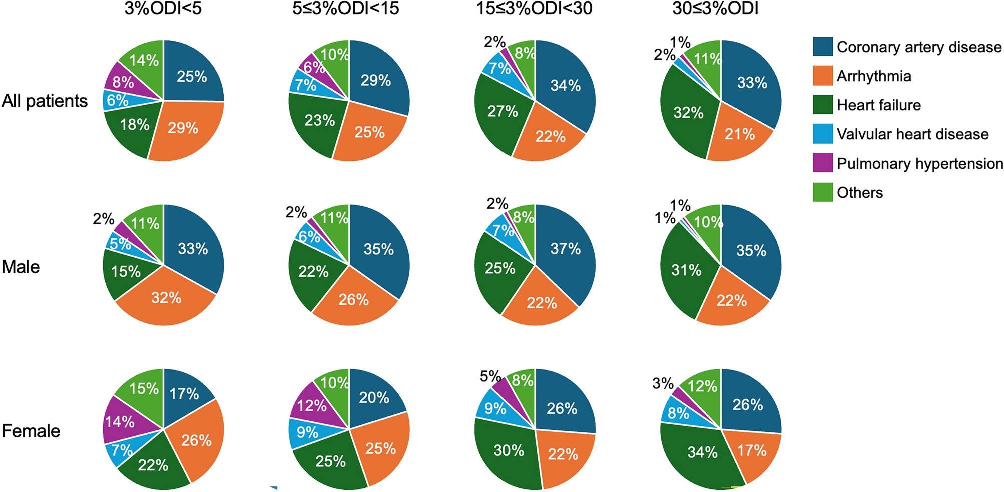
Underlying cardiovascular diseases in each SDB severity group. Top; all patients, middle; male, bottom; female.
From: Sleep-disordered breathing profiles in patients with cardiovascular diseases: Kurume SDB-CVD study

Underlying cardiovascular diseases in each SDB severity group. Top; all patients, middle; male, bottom; female.