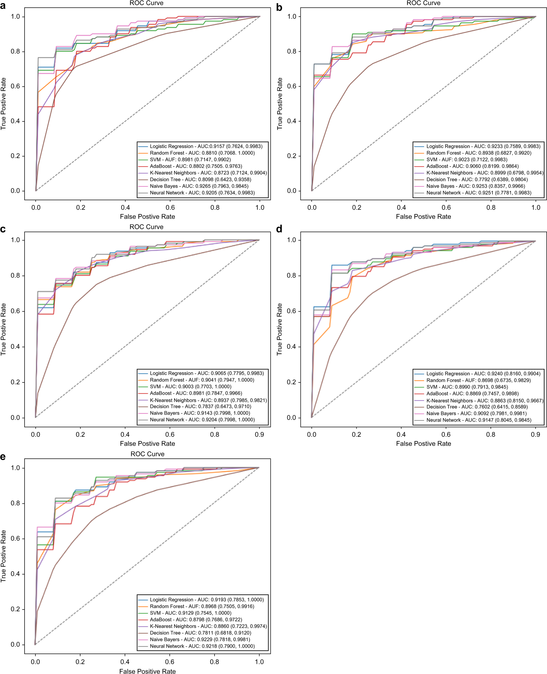
Fig. 3

Receiver operating characteristic (ROC) curves for different machine learning models based on peritumoral features. ROC curves of eight machine learning models using tumor perimeter features of 1, 2, 3, 4, and 5 mm corresponding to (a, b, c, d, and e) respectively.