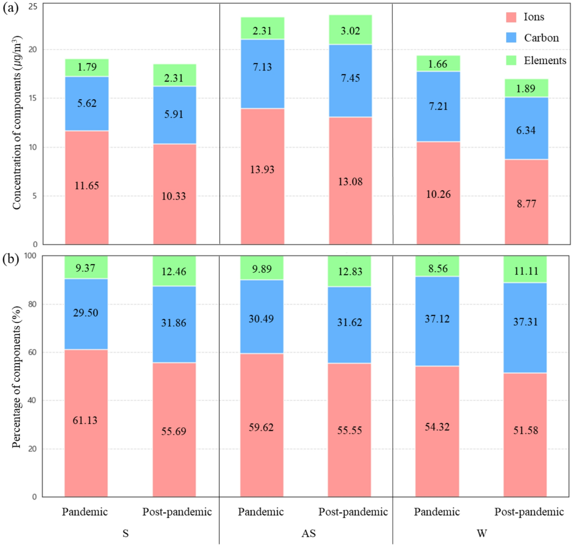
Fig. 2

Concentrations of ions, carbons, and elements during lockdown and recovery phase at different sampling sites: (a) Concentrations of ions, carbons, and elements (µg/m3) and (b) percentage of ions, carbons, and elements (%).

Concentrations of ions, carbons, and elements during lockdown and recovery phase at different sampling sites: (a) Concentrations of ions, carbons, and elements (µg/m3) and (b) percentage of ions, carbons, and elements (%).