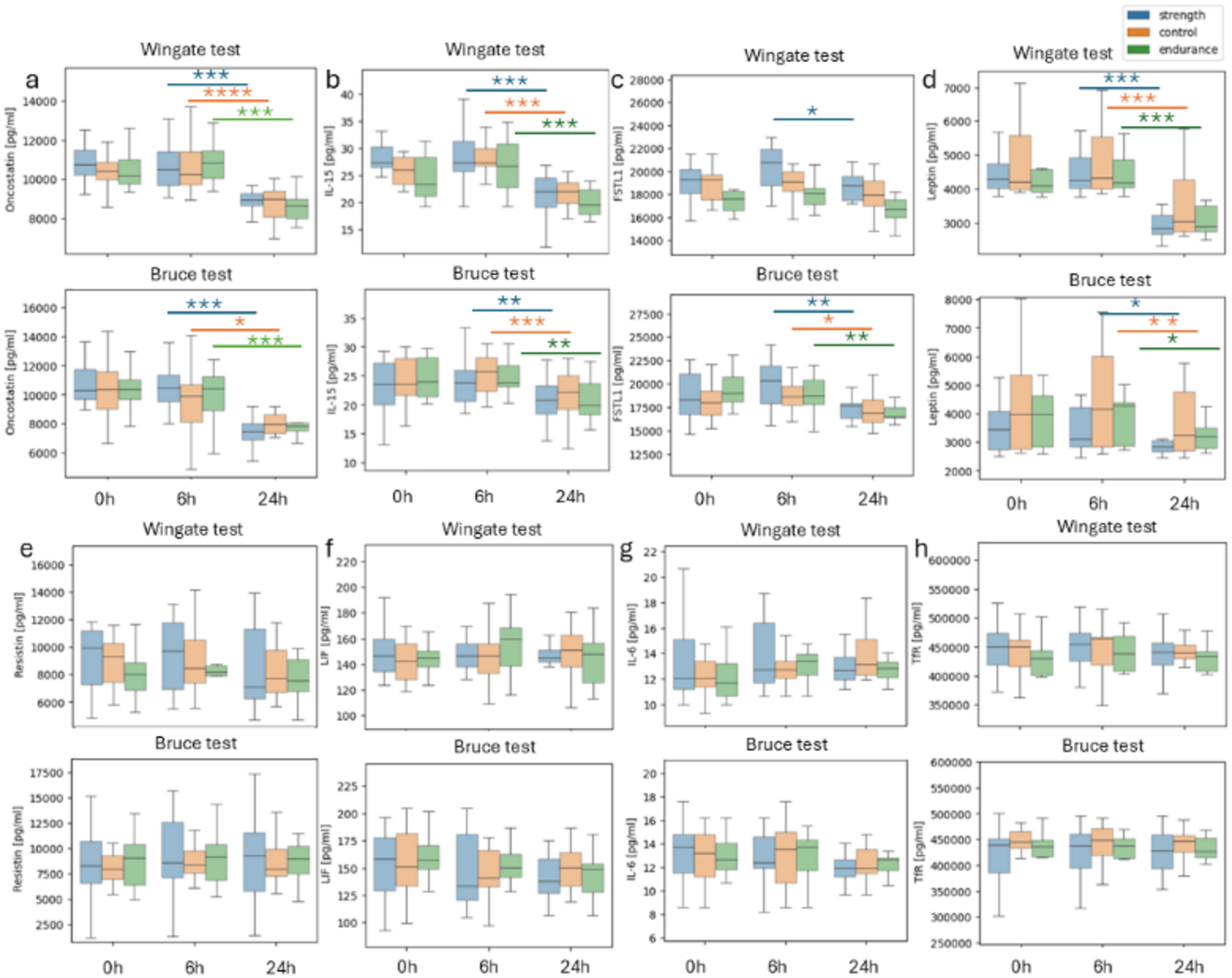
Fig. 1

Post-exercise changes in biochemical markers in all groups following the Wingate (top) and Bruce (bottom) tests. Most biochemical parameters show similar trends in all groups after the Wingate (top) and Bruce (bottom) tests. Blue: strength, orange: control, green: endurance. (a) oncostatin, (b) IL-15 (interleukin 15), (c) FSTL1 (Follistatin-like 1), (d) leptin, (e) resistin, (f) LIF—leukemia inhibitory factor, (g) IL-6 (interleukin 6), (h) TfR (transferrin receptor); *p < 0.05, **p < 0.01, ***p < 0.001.