Fig. 3
From: Phonon-mediated high-temperature superconductivity in clathrate superhydride ThCeH18 under pressure

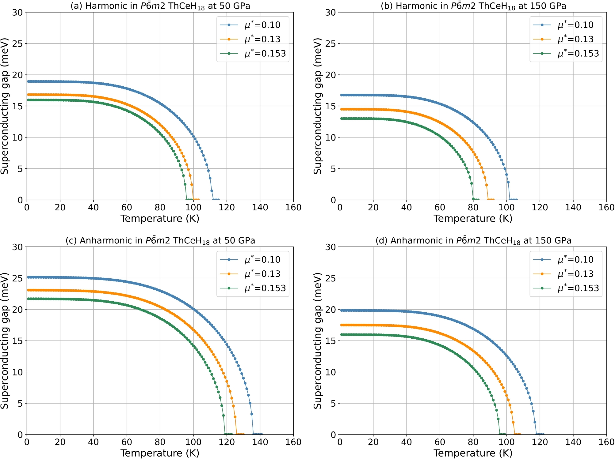
Superconducting energy gap as a function of temperature for \({P\bar{6}m2}\)-\(\hbox {ThCeH}_{{18}}\) under the harmonic approximation at (a) 50 GPa and (b) 150 GPa, and under the anharmonic correction at (c) 50 GPa and (d) 150 GPa.