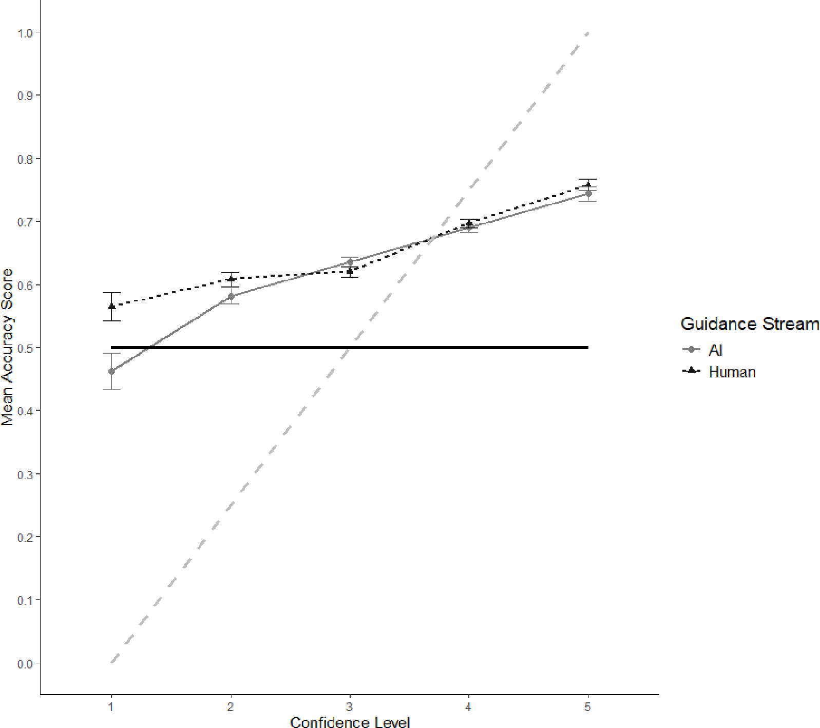
Fig. 2
From: Examining human reliance on artificial intelligence in decision making

Confidence-accuracy curve of mean accuracy scores (and standard error bars) per level of confidence for AI and human guidance. Diagonal dashed grey line = perfect calibration. Full black line = chance (50% response accuracy).