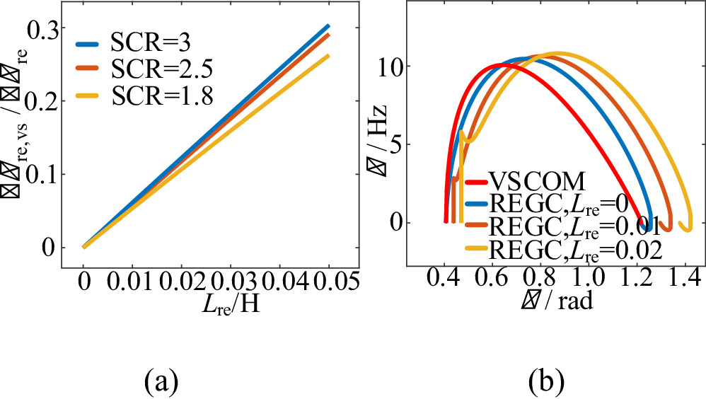
Fig. 7

Influence of\(\:{L}_{\text{re}}\) on REGC transient response under large grid disturbances. (a) Effect of \(\:{L}_{\text{re}}\) on \(\triangle{\omega\:}_{\text{re,vs}}/\triangle{\omega\:}_{\text{re}}\). (b) REGC phase-plane under different \(\:{L}_{\text{re}}\) values.