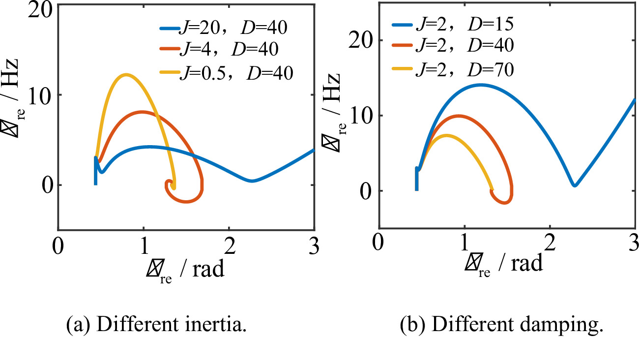
Fig. 9

Phase-plane diagrams of renewable energy power units under different VSCOM damping D and inertia J. (a) Different inertia, (b) Different damping.

Phase-plane diagrams of renewable energy power units under different VSCOM damping D and inertia J. (a) Different inertia, (b) Different damping.