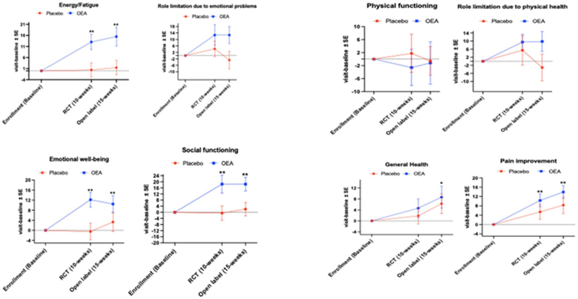
Fig. 5

Sub-scales of SF-36 V showed the main effects of OEA intervention for improvements in energy/fatigue, emotional well-being and social functioning scores. (A) Mean ± SE, placebo n = 23; OEA n = 21. An interactive effect of time and OEA was significant for energy/fatigue (F(2,88) = 4.8, p ≤ 0.05), emotional well-being (F(2,87) = 3.2, p ≤ 0.05), and social functioning (F(2,88) = 3.3, p ≤ 0.05). Paired t-test analyses showed that for the OEA group, there was a significant increase in the total score from baseline at both the RCT and the open label phase for energy/fatigue (t-value (df =22) = −3.8, p = 0.001 for 10-weeks and t-value (df =20) = −3.7, p = 0.001 for 15-weeks), emotional well-being (t-value (df =22) = −4.1, p < 0.001 for 10-weeks and t-value (df =20) = −3.2, p = 0.005 for 15-weeks), social functioning (t-value (df =22) = −3.2, p = 0.004 for 10-weeks and t-value (df =20) = −4.1, p < 0.001 for 15-weeks), general health (t-value (df =22) = −1.4, p = 0.19 for 10-weeks and t-value (df =20) = −2.1, p = 0.045) for 15-weeks) and pain (t-value (df =22) = −3.7, p = 0.001 for 10-weeks and t-value (df =20) = −5.1, p < 0.001). For the placebo group, there was a significant change from baseline to 15-weeks for pain (t-value (df =23) = −1.7, p = 0.1 for 10-weeks and t-value (df =20) = −2.3, p = 0.03). There were no other differences observed for the paired t-test analyses. (B) Figures show the group differences for role limitation due to physical health, role limitation due to emotional problems, pain and general health. *p ≤ 0.05 and ** p ≤ 0.01.