Fig. 2
From: Interpreting artificial neural network-based modeling of 4 H-SiC mosfets using explainable AI

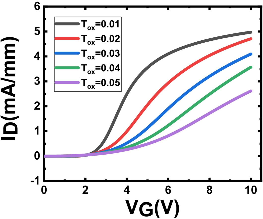
An example of typical ID–VG characteristics of SiC MOSFETs in this work (Pconc = 1 × 1016 cm-3, nsub_conc = 1 × 1018 cm−3, ndrift_conc = 2 × 1015 cm-3, Tox = 0.01 to 0.05 μm, Lch = 2 μm).