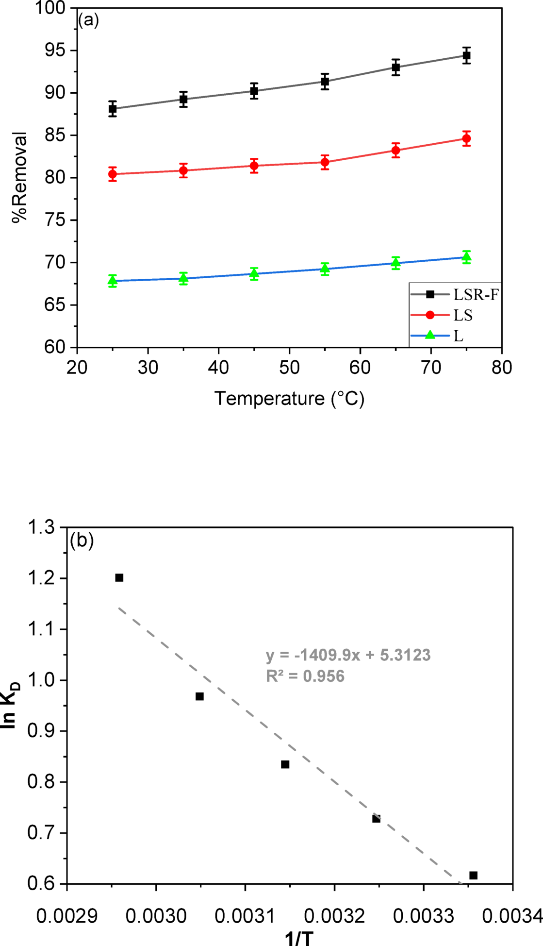
Fig. 11

(a) Effect of temperature on the percentage removal of CV dye at T = (25, 35, 45, 55, 65, 75 °C), t = 15 min for CV, [dye] = 250 ppm, adsorbent dose = 0.1 g, pH = 7), (b) The Van’t Hoff plot at 0.1 g concentration and pH 7 examines thermodynamic parameters across different temperatures.