Abstract
Current polymerization strategies for CO2 utilization are often constrained by harsh operating conditions, limited selectivity, and insufficient catalyst recyclability. A sustainable and cost-effective catalytic protocol is introduced for the synthesis of biopolymers and polymers from CO2 with oxetane, epoxide, or limonene epoxide under mild conditions. The catalytic system is based on dendritic fibrous nanosilica (DFNS) functionalized with ionic liquids (ILs) containing CO32⁻ anions and imidazolium cations. The resulting DFNS–IL hybrid nanostructures provide highly accessible active sites and act as stable, recyclable heterogeneous catalysts, achieving yields up to 98% with excellent selectivity. The catalysts can be readily recovered and reused over multiple cycles without significant loss of activity. Structural and spectroscopic analyses confirm the successful immobilization of ionic liquids on DFNS and their critical role in enhancing CO2-based polymerization. This approach demonstrates an environmentally benign and practical pathway for the valorization of CO2 into value-added polymeric materials.
Introduction
In the last decade, various catalysts have been cultivated to concoct polymer from CO2, aiming to improve based on the phosgene protocol. Examples include MgO/ZrO21, DBU2,3, MTHP or poly(amidine)4, Cs2CO35, smectites6, monomeric tungstate TBA2WO47,8, (Bmim)Ac9, and TMG10. Latterly, Han et al.11 delineated the coalescence of polymer via the reaction of 2-aminobenzonitrile and carbon dioxide in water catalyst-free. However, this approach needed higher compression, reaction condition, and longer reaction times to obtain reasonable yields. Many of these protocols are limited by high catalyst loading and low substrate compatibility, which restricts their practical applications. Therefore, developing an active and recyclable solid base promoter for this transformation is necessary12.
Ionic liquids (ILs) have been recognized as effective homogeneous catalysts13 due to their remarkable physicochemical properties, including a broad liquid range, negligible vapor pressure, excellent solubility, and high ionic conductivity14. Despite these advantages, their practical applications are limited by challenges in recovery, which can lead to environmental and economic concerns. These challenges include difficulties in catalytic reactions, their high viscosity impeding mass transfer, and handling complications15. Furthermore, the use of relatively large amounts of ILs can be both toxic and costly16. To address these issues, immobilizing ILs on solid supports has been proposed as a solution to produce heterogeneous catalysts17.
Dendritic fibrous nanosilica (DFNS), developed by Polshettiwar et al.18,19,20,21,22, has exhibited remarkable performance in various fields, including catalytic acceleration of chemical reactions, gas adsorption, energy storage, solar energy harvesting, sensing technologies, and biomedical applications. We designated it DFNS in our primary documentation due to its filamentous structure23,24,25. The superior integrity and efficacy of DFNS are attributed to its filamentous structure, which is more available from all sides compared to the tubular pores of SBA-15 and MCM-41. This availability augments the loading of active sites26,27,28,29.
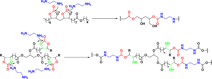
In this study, we propose a sustainable catalytic protocol for CO2 conversion using DFNS-ILs hybrid materials, where the fibrous architecture of DFNS enables efficient dispersion and stabilization of the active ionic liquid sites. The increased accessibility of active sites and suitable fiber dimensions improved CO2 sorption performance. The production of biopolymer and polymer was thoroughly investigated under optimal conditions, resulting in a cost-effective, environmentally benign, and innovative protocol with elevated reactivity and specificity. This comprehensive study culminated in the proposal of a coupling mechanism. The ILs anchored on DFNS nanoclusters could reduce the need for repeated isolation of reaction intermediates and simplify the overall process, thereby lowering operational costs (Fig. 1).
Production of polymer (I-III) from oxetane, epoxide or limonene epoxide with CO2.
Experimental
Characterization techniques
The structural and physicochemical properties of the synthesized DFNS-ILs catalysts were analyzed using the following techniques: Fourier-transform infrared spectroscopy (FTIR) was performed using a Bruker Tensor 27 spectrometer; X-ray diffraction (XRD) patterns were recorded on a Philips PW1730 diffractometer with Cu Kα radiation (λ = 1.5406 Å); surface morphology and elemental composition were examined using field-emission scanning electron microscopy (FE-SEM, Hitachi S-4160) equipped with EDX. Surface area and porosity were evaluated by nitrogen adsorption–desorption isotherms at 77 K using the BET method (Micromeritics ASAP 2020). Thermogravimetric analysis (TGA) was conducted under a nitrogen atmosphere using a Mettler Toledo TGA/DSC1 analyzer. All reagents and solvents were purchased from commercial suppliers and used as received unless otherwise noted. Limonene epoxide (≥ 98%) and oxetane (≥ 99%) were obtained from Sigma-Aldrich. Imidazole, potassium carbonate, and tetraethyl orthosilicate (TEOS) were also sourced from Sigma-Aldrich with purities above 98%.
General procedure for the preparation of ionic liquid
A solution containing 4.3 mmol of potassium hydroxide, 3.1 mL of dimethyl sulfoxide, and 4.2 mmol of imidazole was stirred for 3.4 h. Subsequently, 6.4 mmol of 1,3-dibromo-2,2-bis(bromomethyl)propane was added dropwise to the reaction mixture over 44 min. The mixture was then stirred for an additional 2.8 h. Afterward, 36 mL of water was introduced, and the contents of the flask were transferred to a separating funnel. The mixture was extracted three times using 47 mL batches of chloroform. The combined chloroform extracts were washed five times with 37 mL batches of water to eliminate any unreacted imidazole. The chloroform layer was then dried over excess MgSO₄. After 11 h, a dark brown gelatinous substance was obtained. To purify the product, it was washed four times with acetone and three times with acetonitrile.
General procedure for the preparation of DFNS NPs
TEOS (1.9 g) was liquefied in a blend of 1-pentanol (3.2 ml) and cyclohexane (46 ml). An agitated solution of urea (1.9 g) and cetylpyridinium bromide (3.2 g) in water (24 ml) was then incorporated. The resultant reaction mixture was swirled continuously for 32 min at ambient heat, then transferred to a Teflon-sealed hydrothermal reactor and heated to 135 °C for 8 h. The formed silica was separated by centrifugation, rinsed with deionized water followed by acetone, and desiccated in an oven.
General procedure for the preparation of DFNS/3-chloropropylsilane NPs
THF (37 mL) and DFNS (11 mmol) were combined in a beaker, followed by the addition of NaH (20 mmol). 3-chloropropyltriethoxysilane (22 mmol) was gradually introduced at ambient reaction condition and agitated for an additional 16 h at 80 °C. The resulting products were gathered, sequentially rinsed with deionized water followed by methanol, and dried under evacuated space at 120 °C for 3.8 h for subsequent use.
General procedure for the preparation of DFNS-IL NPs
DFNS-3-chloropropylsilane (6.3 mmol) and IL (57 mmol) were solubilized in methanol (36 mL) under stirring. The reaction mixture was subjected to reflux for 34 h under a nitrogen atmosphere. Following the removal of methanol under evacuated space, the remnant was solubilized in water. The achieved solution was concentrated under evacuated space and subsequently extracted with an ethanol-tetrahydrofuran reaction mixture. Post-solvent evaporation, the reaction mixture was sieved, and the percolate was desiccated under evacuated space at 100 °C. Na2CO3 (30 mmol) was added to DFNS-IL (635 mg) in deionized water (13 mL), and ultrasonicated for 42 min. The reaction mixture was agitated for 11 h at ambient heat.
General procedures for the preparation of polymer
Oxetane, epoxide or limonene epoxide (1 mmol) and DFNS-ILs (10 mg) were introduced into an autoclave, which was then flushed twice with CO2, pressurized to 2.5 MPa with CO2, and heated to 100 °C for 4.5 h. After chilling to ambient heat, the reaction mixture was transferred to a 75 mL round-bottom flask. Upon completion, ethanol was added to the reaction mixture, and the DFNS-IL nanoparticles were recovered by fractionation under reduced pressure. The dissolvent was eliminated under reduced pressure, and the resultant product was refined by crystallization using n-hexane/ethyl acetate.
Results and discussion
The fabrication protocol for the DFNS-ILs is depicted in Fig. 2. Initially, DFNS was produced through the simultaneous condensation and hydrolysis of tetraethyl orthosilicate (TEOS). In this nanocomposite structure, DFNS nanofibers served as a support, while IL were dispersed on the exterior surface due to their covalent interactions. The formation of DFNS-ILs was facilitated by the plentiful hydroxyl moieties present on the DFNS nanofibers. These fibers have numerous HO-Si groups on their exterior surface, making them easily functionalizable with ILs to form DFNS-ILs. The DFNS-ILs acted as nucleation sites for the formation of CO32- on the exterior surface of DFNS. We optimized the ILs to effectively sequester the nanoclusters within the DFNS formulation.
Schematic illustration of the merge for DFNS-ILs.
In this study, XPS was employed to examine the chemical components at the DFNS-ILs NPs level. Figure 3 presents the XPS spectrum of the catalyst, showing peaks for C, O, Si, and N. The presence of the N 1s peak further confirms that the DFNS has been functionalized with imidazolium, indicating the incorporation of the imidazolium moiety into the catalyst. Figure 4 displays the elemental composition of the catalyst as determined by EDX analysis, showing elements such as nitrogen, silicon, carbon, and oxygen present in DFNS-ILs NPs. However, one of the bands was not visible due to overlap with DFNS. In the infrared spectrum of DFNS without ILs, four reflections at 502, 738, 912, and 1104 cm-1 were observed, corresponding to νas (Si–O–Si), νs (Si–O–Si), δ (Si–O–Si), and ν (Si–OH). The incorporation of hexamethylenetetramine in the DFNS-ILs structure was confirmed by reflections at 1510 cm-1, and absorption at 682 cm-1 corresponding to ν C–C and C–N. The spectrum of DFNS-ILs also showed aliphatic ν H-C reflections at 2967, 2934, and 2897 cm-1. (Fig. 5).
X-ray photoelectron spectroscopy (XPS) survey spectrum of DFNS-ILs nanoparticles, indicating the presence of characteristic elements including O 1 s, N 1 s, C 1 s, Si 2 s, and Si 2p, confirming the successful surface functionalization of DFNS with imidazolium-based ionic liquids.
Energy-dispersive X-ray (EDX) spectrum of DFNS-ILs nanoparticles showing elemental peaks for C, N, O, and Si. The presence of nitrogen confirms the successful immobilization of imidazolium ionic liquid onto the DFNS surface, supporting the XPS results.
Fourier-transform infrared (FTIR) spectra of (a) DFNS and (b) DFNS-ILs. The spectrum of DFNS-ILs shows additional characteristic bands near 1570–1650 cm⁻1 and 1170–1250 cm⁻1, corresponding to the C = N and C–N stretching vibrations of the imidazolium ring, respectively, confirming successful grafting of the ionic liquid onto the silica framework.
Figure 6 illustrates the FESEM and TEM illustrations of DFNS and DFNS-ILs. As illustrated in Fig. 6, the DFNS specimen featured barrier-like structures with consistent dimensions and dendrimer filaments approximately 50–60 nm thick, forming a three-dimensional network. These filaments facilitated entry to the exterior layer (Figs. 6a and c). Based on the FESEM and TEM images presented in Fig. 6, it is evident that the addition of the ionic liquid to the DFNS surface did not alter its structural integrity. The DFNS-IL samples retained the characteristic barrier-like morphology and dendritic filament network observed in the unmodified DFNS, indicating that the structural features, including the filament thickness and three-dimensional architecture, remained unchanged after functionalization (Figs. 6b and d). Figure 7 illustrates the calorific behavior of DFNS-ILs. A mass decrement at 150 °C was observed, corresponding to the removal of physisorbed and chemisorbed solvents from the exterior level of DFNS-ILs NPs. In the subsequent phase, between 450 °C and 720 °C, a mass reduction of approximately 16% was noted for all catalysts, correlated with the decomposition of organic derivatives.
Morphological characterization of the synthesized materials. (a, b) Field-emission scanning electron microscopy (FESEM) images of DFNS and DFNS-ILs, respectively, illustrating the dendritic, fibrous structure retained after ionic liquid modification. (c, d) Transmission electron microscopy (TEM) images of DFNS and DFNS-ILs, showing well-defined radial channels and uniform dispersion, indicating that the internal fibrous architecture is preserved following surface functionalization.
Thermogravimetric analysis (TGA) curves of DFNS and DFNS-ILs, illustrating thermal stability and organic content. The increased weight loss observed in DFNS-ILs between 200–500 °C corresponds to the decomposition of the grafted ionic liquid, confirming successful functionalization.
Mesoporous-based sorbents often lose surface integrity, void volume, and diameter during grafting, as large organic molecules fill their channels. This hinders mass transfer within the material post-modification and reduces adsorption capacity. To address this issue, we explored DFNS as a support due to its highly accessible exterior level resulting from its fibrous morphology. Consequently, we examined the changes in its textural properties following organic grafting. The N2 adsorption–desorption isotherms of DFNS-ILs@Cl- and DFNS-ILs@CO32- exhibited a distinctive type IV curve (Fig. 8), aligning with literature findings on conventional fibrous silica spheres. The structural attributes of ILs@CO32- based on DFNS are detailed in Table 1. The significant reduction in surface area and pore volume after grafting suggests that the ILs@CO32⁻ entities partially blocked the mesopores of the DFNS framework. However, the persistence of Type IV isotherms and H1 hysteresis behavior indicates that the mesoporous network remains largely intact, preserving sufficient void volume for catalytic activity. Consequently, the fibrous architecture of DFNS offered enhanced compatibility for each entity, including ILs@CO32- entities. The BET surface area of pristine DFNS was measured at 572 m2/g with a pore volume of 1.74 cm3/g. Upon immobilization of ILs containing CO32⁻ anions, these values decreased to 362 m2/g and 0.87 cm3/g, respectively. This reduction indicates partial pore occupation by the ionic liquid moieties, consistent with successful surface grafting. However, despite the decline in surface area, the catalyst retained high activity, achieving up to 98% yield. By anchoring the ILs within confined regions of the fibrous framework, reactants are more likely to interact closely with the active sites. Furthermore, the radially open morphology of DFNS ensures that pore accessibility is maintained despite the reduction in absolute volume. Therefore, the decline in pore volume is acceptable and may in fact facilitate efficient conversion due to improved microenvironmental confinement and local concentration effects.
Nitrogen adsorption–desorption isotherms showing type IV behavior for DFNS (a) and DFNS-ILs@CO32- (b), confirming mesoporosity retention post-functionalization.
In this study, the cycloaddition reaction of CO2 with epoxide to produce poly(trimethylene carbonate) was carried out using various catalysts derived from DFNS-ILs@CO32- (Table 2). Initially, the production of poly(trimethylene carbonate) was attempted using pristine DFNS, yielding only 9% of the product (Run 1, Table 2). Notably, the catalytic performance of IL was found to be comparable to that of pristine DFNS-ILs@Cl- (Run 2). Furthermore, when polyoxomolybdate-sensitized catalysts were employed, the DFNS-ILs@CO32- significantly increased the yield of poly(trimethylene carbonate) to 98% (Run 3, Table 2). This indicated the catalytic activity of the CO32- species. Other substrates such as SiO2, SBA-15, and MCM-41 were used instead of DFNS, which resulted in a reduced yield of the product (Runs 4–6, Table 2).
The present study further examined various reaction parameters related to the production of polymer. These parameters included the amount of catalyst loading, the level of ILs in DFNS-ILs, and the solvents used. The results showed that increasing the amount of DFNS-ILs enhanced the conversion of CO2 with oxetane, epoxide or limonene epoxide. The yield of polymers improved as the catalyst loading increased, reaching optimal levels at 10 mg. (Fig. 9a). This phenomenon can be attributed to the increased presence and approachability of catalytic loci within the reaction system. Similarly, the concentration of ILs in the catalyst significantly influenced the yield of polymers. The optimal concentration was found to be 0.9 wt.%, resulting in a maximum yield of 98% (Fig. 9b). Nonetheless, surpassing a specific limit of ILs concentration may result in the total envelopment of the 2D level of the ILs through π-π stacking interactions, thereby reducing the activity of DFNS-ILs. The formulated catalyst uses ILs as the reactive locus. When considering the effect of the reaction medium, it was found that polar solvents efficiently promoted the production of polymers (Fig. 9c). EtOH, MeOH, and CH3CN showed comparable promotional effects on the catalytic conversion process.
Influence of key reaction parameters on polymer production yield. (a) Effect of DFNS-ILs catalyst amount, (b) impact of ionic liquid loading level within the DFNS-ILs structure, and (c) influence of different solvents on catalytic performance. These results highlight the sensitivity of the system to catalyst composition and medium polarity.
The reaction does not proceed spontaneously and requires catalytic intervention. Figure 10a shows the influence of reaction condition on the efficacy and specificity of the final product. As reaction condition affects catalytic activity, the output of the final product augmented significantly as the reaction condition rose from 90 to 100 °C. Figure 10b illustrates how polymerization time influences the final yield. Extending the reaction time from 3 to 5 h led to an increase in polymer yield from 58 to 98%. The polymer yield plateaued after 4.5 h, suggesting that the polymerization reaction had reached equilibrium. This demonstrates that DFNS-ILs is an effective nanocatalyst for producing the final product. Figure 10c depicts the influence of carbon dioxide compression on the efficacy. A yield of 90% was attained at lower compressions (2.0 MPa), which increased as the CO2 compression rose from 2.0 to 2.5 MPa. The output of the final product reached 98% at 2.5 MPa CO2.
Evaluation of operational parameters on polymer formation efficiency. (a) Influence of reaction temperature, (b) effect of reaction time, and (c) impact of CO2 pressure on the yield of polymer. These studies demonstrate the optimized conditions for maximizing catalytic performance and conversion efficiency.
To assess the general applicability of the developed protocol for synthesizing cyclic carbonate derivatives from CO2 and diverse epoxides, cycloaddition reactions were performed under optimal conditions. (Table 3). The findings demonstrated that different epoxides, with varying steric, electron-attracting, and electron-donating substituents, were transformed into the respective cyclic carbonates with good to excellent yields. Under optimal conditions, the reaction between epoxide and CO2 afforded the target product in 98% yield. The presence of electron-donating substituents had negligible effect on the reaction efficiency, and high yields were obtained across all cases. Notably, most halogenated substituents were efficiently transformed into the respective cyclic carbonates with excellent yields. Epoxides containing electron-donating methyl substituents also underwent efficient conversion with CO2, yielding the corresponding cyclic carbonates in excellent yields.
DFNS-ILs has demonstrated exceptional versatility in the synthesis of various cyclic carbonates. Building on these findings, we directed our attention toward producing a fatty acid-based bis(cyclic carbonate) derived from a waste fatty acid bis-epoxide n-pentyl ester. The catalytic reaction was initially investigated using 10 mg of DFNS-ILs at 120 °C under 4.5 MPa carbon dioxide pressure, resulting in the quantitative conversion of the bis(cyclic carbonate) (Fig. 11).
The synthesis of bis(cyclic carbonate).
Waste vegetable oils were utilized as renewable precursors for synthesizing their corresponding epoxides. Analysis confirmed that linoleic acid and oleic acid were the primary fatty acids in these waste oils. Subsequently, these oils were epoxidized under previously established conditions, yielding epoxidized sunflower oil and olive oil in quantitative amounts (Fig. 12). The epoxidized oils were then converted into their respective carbonated vegetable oils using DFNS-ILs in a 100 mL stainless steel reactor at 100 °C and 4.5 MPa CO2 pressure. The cyclic carbonates derived from these biobased sources served as CO2-derived carbon sources for synthesizing non-isocyanate polyurethanes via reaction with ethylenediamine. Optimal conditions for non-isocyanate polyurethane formation were identified using carbonated alongside ethylenediamine and vegetable oils (Fig. 13).
Methods for synthesizing vegetable oils involve chemical processes designed to transform plant-derived triglycerides from seeds or fruits into usable oils.
Preparation of poly(hydroxyurethane).
To evaluate the effectiveness and novelty of the synthesized DFNS-ILs@CO32⁻ system, a comparative analysis with previously reported heterogeneous catalysts for CO2–epoxide conversion was conducted and is summarized in Table 4. As shown, while many conventional systems such as MOF-74, IL-functionalized silica, and mesoporous hybrids demonstrate moderate to high catalytic activity, they often require harsher reaction conditions, longer times, or suffer from limited substrate scope and poor recyclability. In contrast, the DFNS-based catalyst presented in this study achieves high yields (up to 98%) under milder conditions (100 °C, 2.5 MPa, 4.5 h), with excellent reusability over at least six cycles. Moreover, the catalyst exhibits versatility toward different epoxides including oxetane and limonene epoxide, which is rarely addressed in prior works. These findings highlight the superior structural and functional attributes of DFNS-ILs@CO32⁻ and confirm its potential as a sustainable and efficient platform for CO2 utilization.
Given the importance of understanding adsorption equilibria to optimize catalyst design, the CO2 adsorption behavior of DFNS-ILs@CO32⁻ was evaluated using three common isotherm models: Langmuir, Freundlich, and Temkin (Fig. 14). A series of experiments with varying initial CO2 concentrations were conducted under optimized conditions for 4.5 h. The calculated isotherm parameters and corresponding correlation coefficients (R2) are summarized in Table 5. The 1/n value below 0.8 obtained from the Freundlich model indicates favorable adsorption. However, a direct comparison of R2 values revealed that the Temkin model provided the best fit (R2 = 0.930), followed by the Freundlich model (R2 = 0.908) and Langmuir model (R2 = 0.893). This result suggests that the adsorption of CO2 on DFNS-ILs occurs on a heterogeneous surface, where adsorbate–adsorbate interactions influence the process, and the heat of adsorption decreases linearly with coverage features consistent with the assumptions of the Temkin model. This interpretation aligns well with the complex surface chemistry of DFNS modified with ionic liquids, where structural confinement, surface heterogeneity, and localized basicity can cause variability in adsorption energy. The KL value for DFNS-ILs was calculated as 0.0042 L/mg, and the maximum equilibrium CO2 adsorption capacity (qm) was 1.378 mg/g under the Langmuir assumption, although this model was not the best statistical fit. Standard deviations were calculated for triplicate experiments and are presented. Among the tested adsorption isotherms, the Langmuir model exhibited the best fit (R2 = 0.982), suggesting monolayer adsorption of CO2 onto energetically uniform active sites. This behavior is indicative of a structurally homogeneous catalytic surface, in which the ionic liquid moieties are well-dispersed across the DFNS framework. The model assumes that once a CO2 molecule occupies a site, no further adsorption occurs at that site, which aligns with the sterically constrained but accessible active domains provided by the fibrous architecture of DFNS. In contrast, the Freundlich and Temkin models, which imply surface heterogeneity and multilayer behavior, provided lower R2 values, reinforcing the validity of the Langmuir description for this system.
Linearized adsorption isotherms for poly(trimethylene carbonate) formation using DFNS-ILs as catalyst: (a) Temkin, (b) Freundlich, and (c) Langmuir models. The best fit obtained with the Langmuir model suggests monolayer adsorption on a uniform surface, indicating homogeneous distribution of active sites across the DFNS-ILs catalyst.
Evaluating CO2 absorption by DFNS-ILs helps predict their sorption dynamics. The kinetic strategy for CO2 sorption was ascertained within 180 min, as longer times might alter the process. Curve fitting was executed utilizing linear correlations to investigate the sorption dynamics of three models: quasi-second-order, intraparticle permeation, and quasi-first-order.
Intraparticle diffusion:
Quasi-second-order:
Quasi-first-order:
A linear plot of Ln(C₀/Ct) versus time for the three nanocatalysts demonstrated pseudo-first-order kinetics, with the slope corresponding to the apparent rate constant (K). The findings suggest that the fibrous structure of DFNS, along with its IL functionalization in DFNS‑ILs@CO32⁻, significantly increases the apparent rate constant of the reaction. Consequently, DFNS-ILs@CO32- exhibited an high rate constant compared to SiO2-ILs@CO32-, consistent with the empirical data. Kinetic analysis revealed that the apparent rate constant increased with temperature, indicating enhanced reaction rates under thermally elevated conditions. (Figs. 15 and 16).
Pseudo-first-order kinetic plots for the polymerization reaction catalyzed by biogenic DFNS-ILs@CO32⁻ and SiO2-ILs@CO32⁻. The steeper slope observed for DFNS-ILs@CO32⁻ indicates a higher rate constant, attributed to its superior surface accessibility and fibrous morphology enhancing catalytic efficiency.
Pseudo-first-order kinetic plots for the CO2–epoxide polymerization reaction catalyzed by DFNS-ILs@CO32⁻ at various temperatures. The increasing slope with temperature indicates enhanced reaction rates and confirms the temperature dependence of the catalytic system, consistent with Arrhenius behavior.
To ascertain the heterogeneity of the catalyst, a hot filtration test was initially executed, showing that the catalyst was isolated after 2.5 min with 51% efficacy. After 4.5 h, the outcome exhibited an efficacy of 53%. The catalyst maintained its heterogeneous nature throughout the reaction, as evidenced by negligible leaching into the reaction medium. To additionally verify the heterogeneity of DFNS-ILs, mercury toxicity was assessed. Mercury (0) significantly inactivated the metal catalyst and reduced its activity. The examinations carried out in this research confirmed the heterogeneity of the catalyst and the absence of metal seepage during the coalescence of poly(trimethylene carbonate) (Fig. 17). Effortless isolation and reusability are notable attributes of a heterogeneous nanocatalyst. The recyclability of DFNS-ILs was tested in the product coalesce. DFNS-ILs was extracted upon the conclusion of each run. At the end of each cycle, methanol was introduced into the reaction mixture to facilitate the recovery of DFNS-ILs by filtration. The separated DFNS-ILs was cleansed with distilled methanol and deionized water, and vacuum-dried. DFNS-ILs sustained their productivity after 10 consecutive cycles (Fig. 18).
Catalyst stability and mechanistic evaluation for the synthesis of poly(trimethylene carbonate). The results from Hg(0) poisoning, hot filtration, and reaction kinetics experiments confirm the heterogeneous nature of the DFNS-ILs@CO32⁻ catalyst and minimal leaching during the polymerization process.
Recyclability assessment of the DFNS-ILs@CO32⁻ catalyst in consecutive polymerization cycles. The catalyst maintains high activity and product yield over multiple runs, demonstrating excellent reusability and structural stability under reaction conditions.
Conclusion
In this study, we developed a green and efficient protocol for synthesizing biopolymers and poly(trimethylene carbonate) derivatives from oxetane, epoxide, and limonene epoxide with CO2, using ionic liquids (ILs) immobilized on dendritic fibrous nanosilica (DFNS) under relatively mild conditions. A series of ILs with different anions were successfully anchored onto DFNS, and the structural configuration was found to preserve interfacial stability while maintaining catalytic performance. Our findings demonstrated that the nature of the immobilized IL significantly influenced the catalytic activity. Among the tested systems, DFNS-ILs@CO32⁻ showed superior performance in terms of conversion efficiency, operational simplicity, recyclability, and catalyst recovery. While the comparative advantage over all existing catalysts should be interpreted cautiously, the system offers a promising and sustainable platform for CO2-based chemical transformations. Additionally, we extended the protocol to the valorization of waste edible oils (sunflower and olive), successfully producing their respective carbonated derivatives. These results suggest potential for broader application in the conversion of renewable resources to polymer precursors. Nevertheless, further studies involving kinetic modeling, large-scale synthesis, and extended catalyst reusability are recommended to fully validate its commercial feasibility.
Data availability
All data generated or analysed during this study are included in this published article.
Abbreviations
- DFNS:
-
Dendritic fibrous nanosilica
- IL:
-
Ionic liquid
- CO2 :
-
Carbon dioxide
- NPs:
-
Nanoparticles
- SEM:
-
Scanning electron microscope
- XRD :
-
X-ray diffraction
- FTIR:
-
Fourier transform infrared spectroscopy
- BET:
-
Brunauer–Emmett–Teller
- CPB:
-
Cetylpyridinium bromide
- AFM:
-
Atomic force microscopy
- TEM:
-
Transmission electron microscopy
- DBJH:
-
Average pore diameter
- VBJH:
-
Total pore volume
- nm:
-
Nanometers
- BJH:
-
Barrett–Joyner–Halenda
References
Patil, Y. P., Tambade, P. J., Parghi, K. D., Jayaram, R. V. & Bhanage, B. M. Synthesis of quinazoline-2,4(1H,3H)-diones from carbon dioxide and 2-aminobenzonitriles using MgO/ZrO2 as a solid base catalyst. Catal. Lett. 133, 201–208 (2009).
Mizuno, T., Okamoto, N., Ito, T. & Miyata, T. Synthesis of 2, 4-dihydroxyquinazolines using carbon dioxide in the presence of DBU under mild conditions. Tetrahedron Lett. 41, 1051–1053 (2000).
Mizuno, T., Mihara, M., Nakai, T., Iwai, T. & Ito, T. Solvent-free synthesis of quinazoline-2,4(1H,3H)-diones using carbon dioxide and a catalytic amount of DBU. Synthesis 16, 2524–2528 (2007).
Nagai, D. & Endo, T. Synthesis of 1H-quinazoline-2,4-diones from 2-aminobenzonitriles by fixation of carbon dioxide with amidine moiety supported polymer at atmospheric pressure. J. Polym. Sci. A: Polym. Chem. 47, 653 (2009).
Patil, Y. P., Tambade, P. J., Jagtap, S. R. & Bhanage, B. M. Cesium carbonate catalyzed efficient synthesis of quinazoline-2,4(1H,3H)-diones using carbon dioxide and 2-aminobenzonitriles. Green Chem. Lett. Rev. 1, 127–132 (2008).
Fujita, S., Tanaka, M. & Arai, M. Synthesis of quinazoline-2, 4 (1H, 3H)-dione from carbon dioxide and 2-aminobenzonitrile using mesoporous smectites incorporating alkali hydroxide. Catal. Sci. Technol. 4, 1563 (2014).
Kimura, T., Sunaba, H., Kamata, K. & Mizuno, N. Efficient [WO4]2–catalyzed chemical fixation of carbon dioxide with 2-aminobenzonitriles to quinazoline-2,4(1H,3H)-diones. Inorg. Chem. 51, 13001–13008 (2012).
Kimura, T., Kamata, K. & Mizuno, N. A bifunctional tungstate catalyst for chemical fixation of CO2 at atmospheric pressure. Angew. Chem. Int. Ed. 51, 6700–6703 (2012).
Lu, W. et al. Efficient synthesis of quinazoline-2,4(1H,3H)-diones from CO2 using ionic liquids as a dual solvent–catalyst at atmospheric pressure. Green Chem. 16, 221–225 (2014).
Gao, J., He, L. N., Miao, C. X. & Chanfreau, S. Chemical fixation of CO2: efficient synthesis of quinazoline-2, 4 (1H, 3H)-diones catalyzed by guanidines under solvent-free conditions. Tetrahedron 66, 4063–4067 (2010).
Ma, J. et al. Efficient synthesis of quinazoline-2,4(1H,3H)-diones from CO2 and 2-aminobenzonitriles in water without any catalyst. Green Chem. 15, 1485–1489 (2013).
Ma, J., Yu, J., He, L. & Chen, L. InVO4-based photocatalysts for energy and environmental applications. Chem. Eng. J. 428, 131145 (2022).
Wasserscheid, P. J. & Keim, W. Ionic liquids—new “solutions” for transition metal catalysis. Angew. Chem. Int. Ed. 39, 3772–3789 (2000).
Welton, T. Room-temperature ionic liquids. Solvents for synthesis and catalysis. Chem. Rev. 99, 2071–2084 (1999).
Peng, J. et al. Highly efficient fixation of carbon dioxide to cyclic carbonates with new multi-hydroxyl bis-(quaternary ammonium) ionic liquids as metal-free catalysts under mild conditions. Fuel 224, 481–488 (2018).
Sadeghzadeh, S. M. A heteropolyacid-based ionic liquid immobilized onto magnetic fibrous nano-silica as robust and recyclable heterogeneous catalysts for the synthesis of tetrahydrodipyrazolopyridines in water. RSC Adv. 6, 75973–75980 (2016).
Miao, J., Wan, H., Shao, Y., Guan, G. & Xu, B. Acetalization of carbonyl compounds catalyzed by acidic ionic liquid immobilized on silica gel. J. Mol. Cat. A Chem. 348, 77–82 (2011).
Fihri, A., Bouhrara, M., Nekoueishahraki, B., Marie Basset, J. & Polshettiwar, V. Nanocatalysts for Suzuki cross-coupling reactions. Chem. Soc. Rev. 40, 5181–5203 (2011).
Polshettiwar, V. & Varma, R. S. Green chemistry by nano-catalysis. Green Chem. 12, 743–754 (2010).
Lim, C. W. & Lee, I. S. Magnetically recyclable nanocatalyst systems for the organic reactions. Nano Today 5, 412–434 (2010).
Polshettiwar, V. et al. Chem. Rev. 111, 3036–3075 (2011).
Sharma, R. K., Sharma, S., Dutta, S., Zborilb, R. & Gawande, M. B. Silica-nanosphere-based organic–inorganic hybrid nanomaterials: synthesis, functionalization and applications in catalysis. Green Chem. 17, 3207–3230 (2015).
Du, X. & Qiao, S. Z. Dendritic silica particles with center-radial pore channels: promising platforms for catalysis and biomedical applications. Small 11, 392–413 (2015).
Gawande, M. B., Brancoa, P. S. & Varma, R. S. Nano-magnetite (Fe3O4) as a support for recyclable catalysts in the development of sustainable methodologies. Chem. Soc. Rev. 42, 3371–3393 (2013).
Dalpozzo, R. Magnetic nanoparticle supports for asymmetric catalysts. Green Chem. 17, 3671–3686 (2015).
Yao, Q., Lu, Z. H., Zhang, Z., Chen, X. & Lan, Y. One-pot synthesis of core-shell Cu@SiO2 nanospheres and their catalysis for hydrolytic dehydrogenation of ammonia borane and hydrazine borane. Sci. Rep. 4, 7597–7604 (2014).
Cao, J. et al. Carbon nanotube/CdS core-shell nanowires prepared by a simple room-temperature chemical reduction method. Adv. Mater. 16, 84–87 (2004).
Nasir Baig, R. B. & Varma, R. S. Magnetically retrievable catalysts for organic synthesis. Chem. Commun. 49, 752–770 (2013).
Polshettiwar, V., Cha, D., Zhang, X. & Basset, J. M. High-surface-area silica nanospheres (KCC-1) with a fibrous morphology. Angew. Chem. Int. Ed. 49, 9652–9656 (2010).
Li, J. et al. Recent advances in cycloaddition of CO2 with epoxides: halogen-free catalysis and mechanistic insights. Front. Chem. Sci. Eng 17, 1879–1894 (2023).
Appaturi, J. N. et al. Review on carbon dioxide utilization for cycloaddition of epoxides by ionic liquid-modified hybrid catalysts: effect of influential parameters and mechanisms insight. Catalysts 11, 1 (2021).
Acknowledgements
This work was sponsored in part by MOE Industry-University Cooperation Joint Talent Cultivation Project (230805078245255), Quality Engineering Project of Huaibei Normal University (2022xxqhz005), The University Synergy Innovation Program of Anhui Province (GXXT-2023-028, GXXT-2022-086), Intelligent computing theory and application of excellent scientific research and innovation team of Anhui Province (2023AH010044), the Major projects of Education Department of Anhui Province (2022AH040068).
Author information
Authors and Affiliations
Contributions
Junqi He: project administration, investigation, formal analysis; Chao Gao: conceptualization, methodology; Dulong Feng: investigation, resources, data curation; Xiaohui Song: methodology; Shulong Liu: writing—original Draft; Seyed Mohsen Sadeghzadeh: investigation, resources, data curation.
Corresponding authors
Ethics declarations
Competing interests
The authors declare no competing interests.
Additional information
Publisher’s note
Springer Nature remains neutral with regard to jurisdictional claims in published maps and institutional affiliations.
Rights and permissions
Open Access This article is licensed under a Creative Commons Attribution-NonCommercial-NoDerivatives 4.0 International License, which permits any non-commercial use, sharing, distribution and reproduction in any medium or format, as long as you give appropriate credit to the original author(s) and the source, provide a link to the Creative Commons licence, and indicate if you modified the licensed material. You do not have permission under this licence to share adapted material derived from this article or parts of it. The images or other third party material in this article are included in the article’s Creative Commons licence, unless indicated otherwise in a credit line to the material. If material is not included in the article’s Creative Commons licence and your intended use is not permitted by statutory regulation or exceeds the permitted use, you will need to obtain permission directly from the copyright holder. To view a copy of this licence, visit http://creativecommons.org/licenses/by-nc-nd/4.0/.
About this article
Cite this article
He, J., Gao, C., Feng, D. et al. Production of biopolymer and polymer from carbon dioxide employing ionic liquid supported on dendritic fibrous nanosilica. Sci Rep 16, 6313 (2026). https://doi.org/10.1038/s41598-026-35620-4
Received:
Accepted:
Published:
Version of record:
DOI: https://doi.org/10.1038/s41598-026-35620-4

















