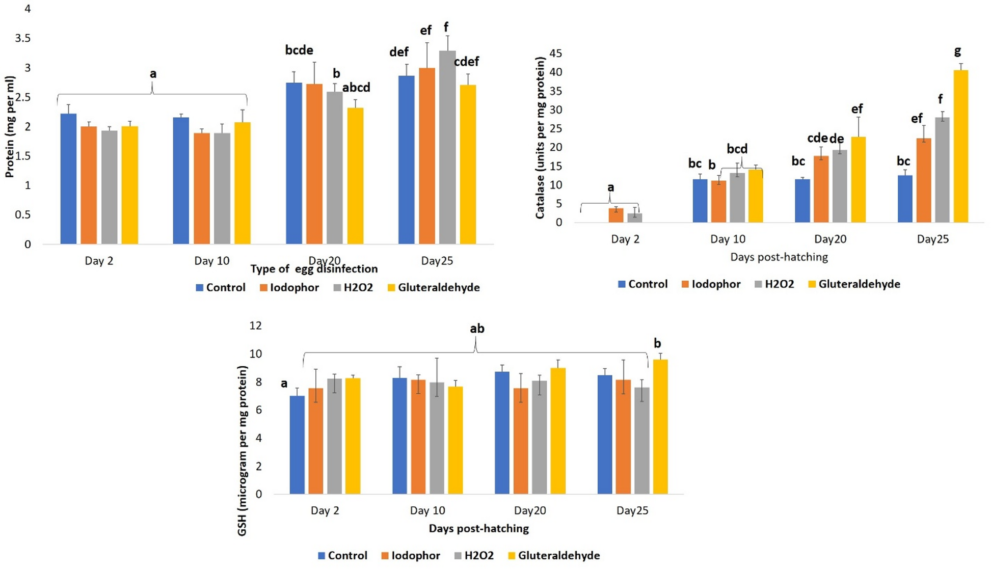
Fig. 4

Effects of egg disinfection on the selected larval quality indices of T. blochii. (A) Protein content in larvae at different days post-hatching; (B) Catalase activity in larvae at different days post-hatching; Reduced glutathione content in larvae at different days post-hatching. In all figures, the values that are significantly different (P ≤ 0.05) from control group are indicated by *.