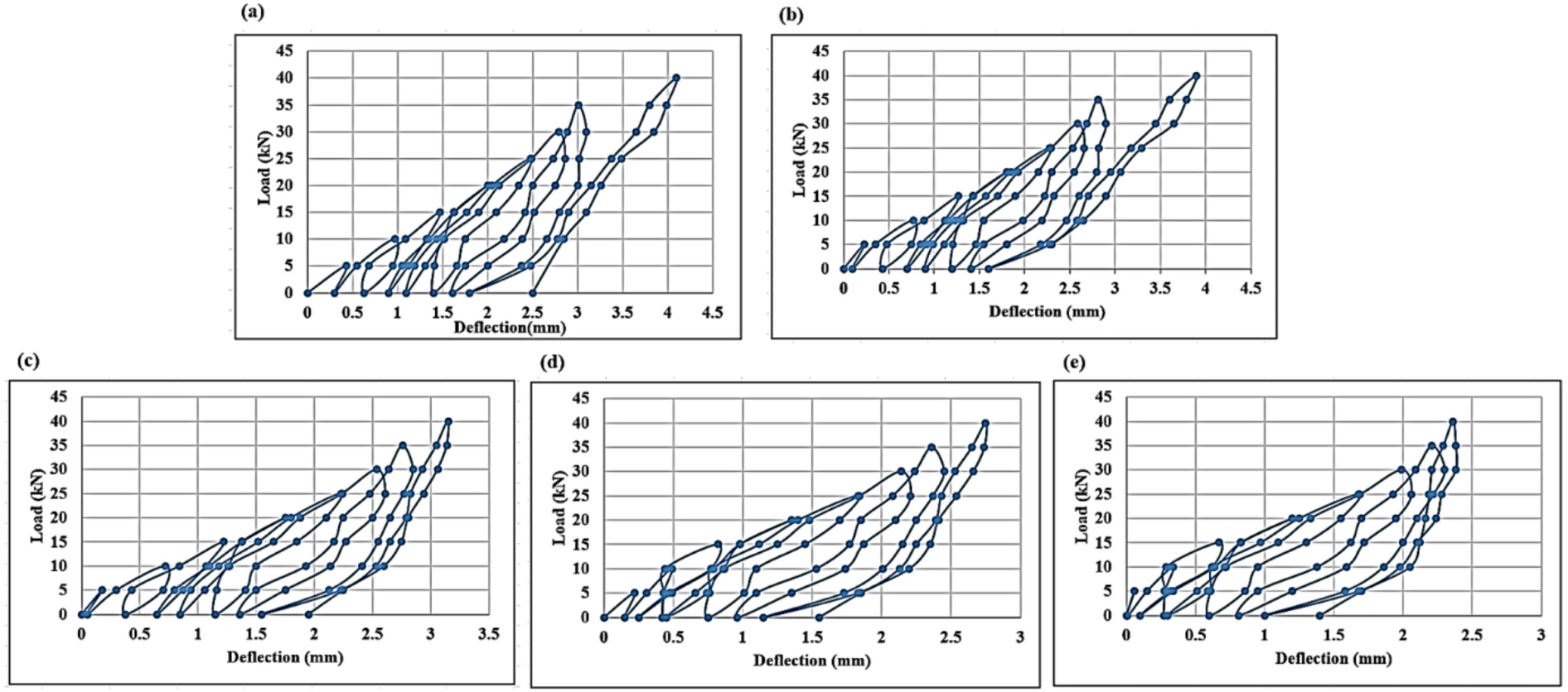
Fig. 6
From: Flexural performance of RC beams strengthened with CFF and SCCFL sheets under cyclic loading

Load deflection curves for (a) control beams, (b) beams strengthened with 1-layer CFF, (c) beams strengthened with 2 layers of CFF, (d) beams strengthened with 1-layer SCCFL, (e) beams strengthened with 2 layers of SCCL.