Abstract
This paper proposes a Feedback Linearization-based Adaptive Sliding Mode Controller (FLC-ASMC) to address the coordinated control of gas flow and pressure in the anode and cathode of automotive Proton Exchange Membrane Fuel Cell (PEMFC) systems. Considering the nonlinear and strongly coupled characteristics of PEMFC systems, feedback linearization is employed to decouple the relationship between flow and pressure. The adaptive sliding mode control technique is then integrated to adjust control parameters in real time, ensuring that the anode-cathode pressure difference remains within a reasonable range. The research results demonstrate that the accuracy of traditional PID control is approximately 85%, while classical Sliding Mode Control (SMC) improves accuracy to 90%-92%. The FLC-ASMC further enhances control accuracy to over 95%, exhibiting the best performance. Experimental results validate that this controller not only effectively controls the pressure difference but also significantly improves the system’s robustness and lifespan, providing a reliable guarantee for the efficient and stable operation of fuel cell systems.
Similar content being viewed by others
Introduction
Since the 21 st century, although significant reserves of fossil fuels have been discovered, their rapid consumption still falls short of meeting future energy demands 0. potentially leading to an energy supply-demand gap in the near future and threatening global energy security. At the same time, the use of fossil fuels inevitably causes environmental pollution, resulting in acid rain, global warming, and climate change. Against this backdrop, countries and enterprises have intensified their efforts in research and development, aiming to develop alternative and renewable energy sources1. To alleviate the energy crisis and reduce environmental impacts in a sustainable manner, various new energy sources have gained attention. These include2. solar energy, wind energy, hydropower, biomass energy, geothermal energy, nuclear energy, and hydrogen energy. Among these, fuel cell technology, as a key means of energy conversion, has also become a focal point. Hydrogen energy is regarded as a vital carrier for achieving deep decarbonization and promoting the transition to clean energy. When combined with fuel cells, it enables low-carbon or even zero-carbon emissions3. With its high energy conversion efficiency, hydrogen energy is considered one of the most promising green and clean energy solutions for the future.
Fuel cells, which directly convert hydrogen energy into electrical energy, offer advantages such as high power generation efficiency, low noise pollution, flexible deployment, and the ability to achieve combined heat and power generation. These features make fuel cells a core technology for hydrogen energy development and application. Currently, several major types of fuel cells, including4 Proton Exchange Membrane Fuel Cells (PEMFC), Direct Methanol Fuel Cells, Solid Oxide Fuel Cells, Phosphoric Acid Fuel Cells, Alkaline Fuel Cells, and Molten Carbonate Fuel Cells, are undergoing continuous research and large-scale application. Among these, PEMFC, with their characteristics of zero emissions, renewability, and high efficiency, have achieved successful applications in portable power sources, combined heat and power systems, transportation, and unmanned underwater vehicles. They play a critical role in building a low-carbon transportation system and advancing the transition to clean energy, especially demonstrating significant development potential in the automotive sector5,6.
However, PEMFC is a complex dynamic system characterized by nonlinearity7, strong coupling, multivariable interactions, and time delays. As a result, it is influenced by various nonlinear factors, such as thermal management, water management, gas diffusion, and electrode reaction kinetics within the fuel cell stack. These nonlinearities significantly impact the output performance of PEMFC. Studies have shown that a large pressure difference between the anode and cathode partial pressures can directly cause irreversible damage to the proton exchange membrane8,9.
Particularly in automotive applications, load fluctuations and frequent purging operations cause the anode-cathode pressure difference to fluctuate due to variations in gas flow10. This leads to issues such as membrane failure, insufficient reactant supply, and water management faults11. Consequently, many researchers have proposed various control methods for the coordinated control of air flow and pressure in the PEMFC gas supply subsystem. Reference12 reviews the latest advancements in the development of control-oriented PEM fuel cell models, including physics-based reduced-order models and non-physics-based empirical and data-driven models, which are used to predict the transient and long-term performance of fuel cells under various operating conditions. Reference13 proposes a model-based controller that employs multivariable control of cathode pressure and oxygen excess ratio to maximize system output power while avoiding oxygen starvation.Reference14 addresses the strong coupling issues in the gas supply and thermal management systems of PEMFC by designing a feedback linearization-based decoupling cooperative controller. Combined with active disturbance rejection control, it achieves independent control of gas flow, cathode pressure, and temperature.Reference15 proposes a multi-input multi-output model predictive control method based on pseudo references. It utilizes feedback linearization to address the nonlinearity of the hydrogen supply system and limits the pressure difference between the anode and cathode within a reasonable range. Reference16constructs a dynamic model of the gas supply system based on mechanisms and experimental data and employs a fuzzy neural network decoupling control strategy to achieve decoupling of gas flow and pressure in the supply system.Studies have shown that nonlinear controllers designed using feedback linearization provide better transient and steady-state performance for PEMFC systems compared to linear controllers17. However, the state variables selected for decoupling through feedback linearization in the aforementioned studies are generally limited to cathode oxygen or anode hydrogen. In practice, nitrogen and water vapor in the cathode gas supply system are often overlooked, making it challenging to simultaneously achieve decoupled coordinated control of gas flow and pressure balance in PEMFC systems.
The control of the PEMFC gas supply system is critical for achieving stable performance output and extended service life18. However, the optimal operating points or regions for airflow and pressure in the gas supply system often approach the critical values of the anode-cathode pressure difference. This makes the system prone to pressure imbalances during operation, adversely affecting the performance and stability of the fuel cell.Therefore, in the actual operation and control of PEMFC gas supply systems, it is essential not only to achieve precise regulation of airflow and pressure but also to consider the impact of the anode-cathode pressure difference on the system’s dynamic performance.On this basis, to achieve decoupled control of complex nonlinear systems, some researchers have introduced sliding mode control methods on top of feedback linearization to enhance the robustness and stability of the system19.
In Reference20, to achieve an appropriate output voltage at the user end, a global integral sliding mode control based on the fast reaching law was designed for the boost converter of a nonlinear PEMFC controller. Compared with traditional sliding mode control, the proposed design demonstrates superior performance in terms of system robustness and convergence speed. In Reference21, a 70 kW PEMFC system model was developed, and a multi-input multi-output sliding mode controller was designed to maintain the oxygen excess ratio, anode-cathode pressure difference, stack temperature, and output power within desired ranges. In Reference22, for the air management system of a PEMFC, feedback linearization was used to establish the relationship between control variables and controlled variables. A sliding mode predictive control method was proposed to simultaneously control the oxygen excess ratio and cathode pressure. In Reference23, to improve airflow and pressure control of cathode air in PEMFC systems under load variations and to avoid compressor surge, a coordinated control method combining fuzzy anti-surge compensation with feedback linearized sliding mode decoupling and fuzzy anti-surge compensation was proposed. In Reference24, targeting the hydroelectric generator regulation system affected by external disturbances and system uncertainties, a sliding mode control strategy based on the input/output feedback linearization method was proposed to enhance the system’s response. In Reference25, for a wind turbine based on a converter, a controller was designed using feedback linearization theory and applied to the system through a sliding mode approach. This study demonstrated robustness against system disturbances and uncertainties while overcoming the usual implementation complexity associated with feedback linearization controllers.
To enhance the system’s adaptability to external disturbances and dynamic changes, some studies have started focusing on combining adaptive and sliding mode control.
In Reference26 considering the high-frequency operation and load variations of PEMFC, an adaptive control strategy with a fault-tolerant objective was proposed to regulate the oxygen excess ratio, addressing two common faults in air compressors: compressor overheating and increased mechanical friction. In Reference27, a novel adaptive control law was designed for PEMFC systems using stochastic gradient descent, where the stochastic gradient continuously computes adaptive gains, ensuring robustness while minimizing chattering. In Reference28, an adaptive backstepping sliding mode control method was proposed to handle the highly nonlinear and coupled characteristics of PEMFC systems for battery current control. Experimental results showed that this method effectively mitigates the chattering phenomenon observed in traditional sliding mode control and exhibits better robustness. In Reference29, an adaptive gain second-order super-twisting sliding mode controller was proposed for current control in PEMFC systems. In Reference30 proposed a control strategy combining MPPT and pressure regulation using second-order sliding mode control to ensure maximum power extraction and membrane protection in PEMFCs. The proposed adaptive sliding mode controller significantly reduced chattering—by up to 85%—and demonstrated improved performance over conventional SMC and STA methods.
In Reference31, a sliding mode controller based on an adaptive algebraic observer was designed to control the oxygen excess ratio and anode-cathode pressure difference in PEMFC, thereby improving efficiency and extending the system’s lifespan. In addition, in Reference32 proposed a high-order sliding mode observer to estimate the oxygen and nitrogen mass, as well as the oxygen excess ratio in PEMFC. They applied second-order sliding mode control for breathing regulation. Simulation results show that the cascaded structure provides higher accuracy, while the single-loop structure achieves faster convergence. In Reference33 IOSL-EMS strategy minimizes comprehensive equivalent hydrogen consumption via quadratic programming, co-optimizing FC operation and lifespan consistency, experimentally proving better economy and durability than conventional methods with near-DP performance. In Reference34proposed a real-time optimal temperature trajectory based health management method for PEMFC, which employs multi-objective optimization to balance the trade-off between health degree and efficiency. Experimental results demonstrate that compared with conventional temperature control methods, the proposed approach can simultaneously improve both system efficiency and operational lifespan during long-term operation. Accordingly, this study proposes a PEMFC control method based on feedback linearization and adaptive sliding mode control. It addresses the coordinated control of the anode and cathode in the PEMFC gas supply system and applies feedback linearization to decouple flow and pressure in the highly nonlinear and strongly coupled fuel cell system. The cathode and anode gases, along with the anode-cathode pressure difference, are treated as controlled variables to ensure adequate gas supply while maintaining the pressure difference within permissible limits. This approach enhances the lifespan and robustness of the PEMFC system.
This work is divided into several sections: In Section “Nonlinear proton exchange membrane fuel cell model”, the PEMFC system is modeled based on a physical mechanism model. Section “Proton exchange membrane fuel cell model based on feedback linearization” utilizes feedback linearization to decouple the gas flow and pressure in the PEMFC gas supply subsystem, selecting multicomponent gases within the cathode, including oxygen, nitrogen, and water vapor, as state variables. In Section “Research on the proton exchange membrane fuel cell control model based on FLCASMC”, based on feedback linearization, a controller is designed using sliding mode control, and appropriate adaptive laws are selected for the controller design. Section “Experiment and simulation” conducts experimental validation of the controller. Finally, Section “Conclusion” concludes the paper with a summary.
Nonlinear proton exchange membrane fuel cell model
In addition to the fuel cell stack, automotive fuel cell power generation systems require supporting auxiliary systems to function as effective power sources. Since the operating environment of fuel cells typically involves various working conditions, and similar gas assumptions are commonly used in multidisciplinary research, this paper focuses primarily on the gas supply system of fuel cells and makes the following assumptions :
1) Under constant temperature conditions, the gases within the fuel cell are assumed to be ideal gases.
2) Water in the fuel cell exists only in gaseous form.
3) Both the anode and cathode sides remain humid, and the membrane maintains an average water content \(\:{\lambda\:}_{m}=14\)。.
4) It is assumed that the humidity is 100%, and no liquid water leaves the fuel cell stack, i.e., \(\:\phi\:=100\%\)。.
5) The molar fraction of inlet reactants is maintained constant, with hydrogen of 99.99% purity used as the anode reactant, and the cathode consisting of oxygen and nitrogen in a 21:79 ratio.
Table 1 presents the fundamental parameters of the fuel cell stack under the experimental assumptions, serving as essential data support for model simulation. Some modeling data are referenced from literature35.
Cathode and anode flow channel model
Based on the ideal gas law and the principle of mass conservation, a dynamic mathematical model is constructed for the pressures of hydrogen, oxygen, nitrogen, and anode-cathode water vapor within the PEMFC system :
In the equation, R is the universal gas constant (8.314\(\:J\cdot\:{K}^{-1}\cdot\:{mol}^{-1}\)), \(\:{V}_{a}\) and \(\:{V}_{c}\) are the volumes of the anode and cathode, respectively, T is the operating temperature of the fuel cell stack (353 K), Y is the initial molar fraction of each gas, \(\:{\phi\:}_{a}\) and \(\:{\phi\:}_{c}\) are the relative humidity of the anode and cathode, respectively, and \(\:{\lambda\:}_{{H}_{2}}\) and \(\:{\lambda\:}_{air}\) are the stoichiometric numbers for hydrogen and air.
Where \(\:{F}_{{H}_{2}}\), \(\:{F}_{{H}_{2}{o}_{a}}\), \(\:{F}_{{O}_{2}}\), \(\:{F}_{{N}_{2}}\), and \(\:{F}_{{H}_{2}{O}_{c}}\) are the pressure fractions of the gases within the fuel cell, as given below :
Based on fundamental electrochemical principles, the consumption and generation of gases are expressed as a function of the stack current :
Definition
\(\:\frac{{nA}_{fc}}{2F}={C}_{1}\), \(\:1.2684\frac{{nA}_{fc}}{F}={C}_{2}\). The subscripts \(\:react\) and \(\:gen\) denote the corresponding gas consumption and generation amounts. \(\:{A}_{fc}\) is the active area of the fuel cell (10 \(\:{cm}^{2}\)), \(\:n\) is the number of fuel cells (100), i is the current density of the cell, and F is the Faraday constant (96486 \(\:C\cdot\:{mol}^{-1}\)).
Stack output voltage model
In PEMFC operation, the actual output voltage is the ideal potential minus the overpotential losses caused by multiple polarization effects. These losses are primarily reflected in activation, ohmic, and concentration losses.
Based on the PEMFC output voltage model constructed by J. Larminie et al., the following equation is used:
In the equation, \(\:{V}_{nerst}\) represents the Nernst voltage, \(\:{V}_{act}\) represents the activation loss, \(\:{V}_{ohmic}\) represents the ohmic loss, and \(\:{V}_{conc}\) represents the concentration loss.
1) Activation loss: Due to the slow reaction rate at the electrode surface, a portion of the voltage is consumed in the electrochemical reaction, and this loss has highly nonlinear characteristics.
In the equation, \(\:{V}_{o}\) and \(\:{V}_{a}\) are related to the oxygen partial pressure and the stack operating temperature. \(\:{V}_{o}\) and \(\:Va\) can be calculated using the following formulas:
Where \(\:{P}_{sat}\) is the saturation pressure, and its calculation formula is:\(\:{P}_{sat}={e}^{23.196-\frac{3816.44}{T-46.13}}\).
(2) Ohmic loss: This is caused by the resistance of electrons passing through the electrode materials and connecting components, as well as the resistance of ions in the electrolyte. Its magnitude is directly related to the current density.
In the equation, \(\:{R}_{ohm}\) is the internal resistance of the battery system.
(3) Concentration loss: This is caused by the decrease in reactant concentration at the electrode surface. The concentration drop is attributed to the scarcity of reactants supplied to the electrode surface.
B is a constant of 0.016, and \(\:{i}_{L}\) is the limiting current density (2.2 \(\:{A\cdot\:cm}^{-2}\)).
The system’s nonlinear equations are transformed into state equations by selecting the partial pressures of hydrogen, oxygen, nitrogen, and the water vapor at both electrodes as the state vector. The state vector is expressed as follows:
By taking the anode gas and cathode gas inlet flow rates, \(\:{u}_{a}\) and \(\:{u}_{c}\), as input variables, and combining Eqs. (1), (2), and (12), the state equations for the fuel cell system are obtained as :
Proton exchange membrane fuel cell model based on feedback linearization
Feedback linearization utilizes a feedback mechanism to convert a nonlinear system into a linear system, aiming to improve the robustness of the designed control system. Typically, a robust control strategy is introduced based on this approach. In the gas supply system of automotive fuel cells, a control structure combining feedback linearization and robust control that considers uncertainties is adopted for the flow and pressure control. Sliding mode control, due to its strong resistance to parameter variations and external disturbances, is combined with the feedback linearization method to design a decoupling controller for the flow and pressure of the fuel cell supply system.
Affine nonlinear systems represent an important and most commonly encountered class of nonlinear systems. These systems are nonlinear with respect to the state vector but linear with respect to the control input. Consider the following MIMO nonlinear system :
In the equation, \(\:x\in\:{R}^{m}\), \(\:u\in\:{R}^{m}\), and \(\:y\in\:{R}^{m}\) represent the state variables, control input variables, and output variables, respectively. \(\:f\left(x\right)\) and \(\:g\left(x\right)\) are smooth vector fields, and \(\:h\left(x\right)\) is a smooth scalar function.
The decoupling matrix \(\:A\left(x\right)\) is defined as:
In the equation,
\(\:{L}_{g}h\left(x\right)\) is the Lie derivative of the function \(\:h\left(x\right)\) along the vector field \(\:g\left(x\right)\), so \(\:A\left(x\right)\) can be written as:
In addition, in the neighborhood, the decoupling matrix is nonsingular, so the output \(\:y\) can be expressed as a function of the new coordinates \(\:v\) and \(\:p\left(x\right)\) as:
Each control variable \(\:u\) appears after the first derivatives of \(\:{y}_{1}={x}_{1}\) and \(\:{y}_{1}={x}_{3}\), so the relative order of the system \(\:r=2\), which allows for state feedback linearization. The control law expression is:
From this, the decoupled and feedback linearized input-output relations of the PEMFC system are derived as:
The output \(\:{P}_{{H}_{2}}\) and \(\:{P}_{{O}_{2}}\) of the fuel cell are related to the control variables \(\:{v}_{1}\)and \(\:{v}_{2}\) in the new coordinate system obtained through feedback linearization. After the transformation, two linear subsystems with relative order 1 are derived: one corresponding to \(\:{v}_{1}\) and the hydrogen partial pressure \(\:{y}_{1}={P}_{{H}_{2}}\), and the other corresponding to \(\:{v}_{2}\) and the oxygen partial pressure \(\:{y}_{2}={P}_{{O}_{2}}\). These subsystems are represented by \(\:{\dot{y}}_{1}={\dot{x}}_{1}\) and \(\:{\dot{y}}_{2}={\dot{x}}_{3}\), respectively.
In practical PEMFC gas pressure subsystems, there exist varying degrees of parameter perturbations, and the system is also subject to uncertain disturbances from the external environment. Therefore, by incorporating unknown terms into the gas partial pressure dynamic model described in Eq. (15), a nonlinear dynamic model of gas partial pressure is obtained, accounting for both parameter perturbations and external uncertain disturbances:
where Δ represents the uncertain term caused by minor variations in parameters such as temperature and volume as well as external disturbances, and Δ is bounded.
Research on the proton exchange membrane fuel cell control model based on FLC-ASMC
Adaptive sliding mode controller design
Using feedback linearization, the nonlinear system of the Proton Exchange Membrane Fuel Cell has been transformed into a linear system with the new inputs \(\:{v}_{1}\) and \(\:{v}_{2}\). For the transformed linear system, an appropriate controller is designed to achieve the control objective of the anode and cathode gas partial pressures in the fuel cell.
A Single Input Single Output affine nonlinear system refers to the case of Eq. (15) when m = 1 :
In the equation, \(\:f\left(x\right)\) and \(\:g\left(x\right)\) are known, and \(\:d\left(t\right)\) represents the disturbance term, which is unknown but bounded. There \(\:\exists\:D>0\) such that \(\:\left|d\left(t\right)\le\:D\right|\).
The tracking error is defined as \(\:e=x-{x}_{d}\), where \(\:{x}_{d}\) is the desired value and \(\:x\) is the actual output value. The sliding surface is chosen as:
where \(\:c>0\) is the integral coefficient, then:
To ensure the robustness of the closed-loop system, the adaptive law is designed based on Lyapunov stability theory. The Lyapunov function is chosen as:
where \(\:\gamma\:>0,\widetilde{\theta}=\theta\:-\widehat{\theta\:}\), and \(\:\widehat{\theta\:}\) is the estimated value of \(\:\theta\:\).The adaptive law is taken as: \(\:\dot{\widehat{\theta\:}}=\gamma\:\left|s\right|\), then get:
In the development of variable structure control, Academician Gao Weibing et al.36 first introduced the concept of the reaching law, which provided a general method for the design of sliding mode control systems. In this paper, the constant rate reaching law is adopted.
Using a constant speed reaching law : \(\:\dot{s}=-ksgn\left(s\right)\), the structure is:
Among them,\(\:f\left(x\right)\ne\:0,k>0\). Substituting Eq. (30) into Eq. (29) yields,
There \(\:\exists\:\theta\:>0\) such that \(\:\left|d\left(t\right)\le\:\theta\:\right|\). In the scenario where the system is decoupled into two independent SISO subsystems, the parameter \(\:\theta\:\) in each subsystem is a scalar (dimension 1), corresponding to the estimated upper bound of the disturbance in the anode and cathode channels, respectively (i.e., \(\:{\theta\:}_{1}\) and \(\:{\theta\:}_{2}\)). Its physical meaning is:
-
a.
\(\:{\theta\:}_{1}\) and \(\:{\theta\:}_{2}\) represent the maximum magnitudes of the unknown disturbances \(\:{d}_{1}\left(t\right)\), \(\:{d}_{2}\left(t\right)\) in the first and second subsystems, respectively.
-
b.
The parameter \(\:\theta\:\) is adaptively updated via the adaptive law to approximate the actual disturbance boundary.
It can be seen that in the new coordinate system, the structure of the sliding mode control system is designed according to the basic principles of Lyapunov stability theory, ensuring that the system can achieve asymptotic stability. In the controller design, a boundary layer is introduced, and the sign function in Eq. (30) is replaced with a saturation function. Outside the boundary layer, sliding mode control is applied, while inside the boundary layer, feedback control is used. This approach ensures satisfactory control performance while reducing the chattering effect commonly associated with conventional sliding mode control. The controller is designed as follows:
In the equation, \(\:\phi\:\) represents the boundary layer thickness.
Gas pressure sliding mode controller design
After feedback linearization of the dynamic model of the PEMFC gas pressure described in this paper, the inputs and outputs of the anode and cathode are independent of each other. Therefore, they can be regarded as two independent single-input single-output systems, and controllers are designed accordingly for each.
The sliding mode surface is selected as: \(\:s={\left[\begin{array}{cc}{s}_{1}&\:{s}_{2}\end{array}\right]}^{T}={\left[{e}_{1}+\begin{array}{cc}{c}_{1}\int\:{e}_{1}dt&\:{e}_{2}+{c}_{2}{\int\:e}_{2}dt\end{array}\right]}^{T}\), The tracking error of the system output: \(\:e={\left[\begin{array}{cc}{e}_{1}&\:{e}_{2}\end{array}\right]}^{T}\)。The adaptive sliding mode controller is designed as:
In the coordinated control of PEMFC systems, feedback linearization is first used to decouple the nonlinear dynamics of anode and cathode gas pressures into two independent SISO subsystems. For each, an adaptive sliding mode controller is designed based on sliding surfaces \(\:s=e+c\int\:edt\), enhancing robustness through integral error tracking. An adaptive law \(\:\dot{\widehat{\theta\:}}=\gamma\:\left|s\right|\) compensates for unknown disturbances, while a saturation function and boundary layer design are introduced to suppress chattering. Control parameters (e.g., integral gains, boundary thickness, adaptive rates) are jointly tuned to balance responsiveness and disturbance rejection. Stability of each subsystem is ensured via Lyapunov analysis, and inverse transformation maps the control inputs back to actual actuators. This method enables fast, robust, and low-chattering tracking of gas partial pressures, without requiring inter-subsystem communication, thus simplifying implementation while ensuring overall system stability. The control block diagram of the feedback linearization sliding mode controller is shown in Fig. 1.
Feedback Linearization Adaptive Sliding Mode Control Flowchart.
Experiment and simulation
In order to study the dynamic response characteristics of the automotive fuel cell system under different load disturbance conditions and its ability to adapt to complex load variations, two sets of experiments were conducted to simulate simple and complex load conditions that the fuel cell system of actual vehicles may encounter. During vehicle operation, the load current often exhibits step characteristics due to acceleration, deceleration, or changes in other load demands, and may even superimpose periodic fluctuations. Therefore, evaluating the output voltage variation of the fuel cell stack under these conditions is crucial for optimizing the system’s dynamic performance and control strategies. Table 2 presents the simulation parameters of the adaptive sliding mode controller based on feedback linearization.
Before conducting the experiments and simulations, the set point for the anode hydrogen gas pressure in the PEMFC system was chosen to be 1.8 atm, and the set point for the cathode air pressure was selected to be 2 atm. It is known that the oxygen-to-nitrogen ratio is 21:79, with the load current as an input disturbance. The goal is to keep the anode and cathode pressure difference stable at 0.2 atm to ensure that the fuel cell membrane is not damaged by excessive pressure differences. By comparing the results of two sets of experiments, it is expected that the FLC-ASMC controller will provide more precise control of the anode and cathode pressure difference under different load disturbance conditions in the vehicle fuel cell system compared to traditional PID control and classic SMC control. As shown in Fig. 2, the Simulink modeling structure of the 60 kW proton exchange membrane fuel cell system under Experiment 1 is presented. Figure 3 shows the 60 kW fuel cell gas supply system bench architecture.
Simulink modeling and simulation diagram of the 60 kW fuel cell system.
Fuel cell gas supply system test bench structure.
As shown in part a) of Fig. 4, the goal is to simulate the dynamic response characteristics of the fuel cell system under sudden load changes during vehicle operation. Specifically, within the time range of 0 to 200 s, the load current will step up from 0 A to 100 A, representing a sudden load disturbance in the vehicle. In this part of the experiment, the number of battery cells is set to 100, simulating the practical application of the fuel cell system in vehicles. This experiment aims to analyze the system’s steady-state and dynamic performance under sudden load changes, including voltage response, pressure variations, and the effectiveness of the control strategy.
As shown in part b) of Fig. 4, complexity is added based on part a) to study the response of the fuel cell system under more complex load conditions. Within the time range of 0 to 200 s, a step change in load current is applied along with a time-varying sinusoidal disturbance, simulating load fluctuations under complex road conditions. Other experimental conditions, including the selection of the number of battery cells and system setup, remain the same as in part a) of Experiment 1. The objective is to evaluate the adaptability of the fuel cell system to multiple disturbances and the robustness of the control strategy, with a focus on dynamic response characteristics and the stability of pressure difference control.
The PID controller calculates the control input through the error \(\:e\), error rate \(\:e\), and integral of the error \(\:\int\:edt\) to regulate the cathode and anode pressures in the PEMFC system. \(\:u\left(t\right)={k}_{p}\cdot\:e+{k}_{d}\cdot\:\dot{e}+{k}_{i}\cdot\:\int\:edt\), Where, \(\:{k}_{p}\), \(\:{k}_{d}\) and \(\:{k}_{i}\) denote the proportional, derivative, and integral gains of the PID controller, respectively, with the parameter values configured as\(\:\:{k}_{p}=10\), \(\:{k}_{d}=0.05\) and \(\:{k}_{i}=9\). The PID parameters were selected using the trial-and-error tuning method, which involves iteratively adjusting the gains while observing the system’s dynamic response until a satisfactory balance between stability, response speed, and overshoot is achieved. This empirical approach is particularly suitable for complex nonlinear systems like PEMFCs where accurate mathematical models may be difficult to obtain.
SMC defines the sliding surface using the error \(\:e\) and its derivative \(\:\dot{e}\), and applies it to the gas supply subsystem of the PEMFC system. SMC consists of two parts: equivalent control and switching control. The feedforward compensation term is expressed as \(\:{u}_{a}={\theta\:}_{p}\cdot\:dq\), where\(\:\:{\theta\:}_{p}\)=1 is the feedforward gain, and \(\:dq-{\ddot{x}}_{d}-c\cdot\:\dot{e}\:{\ddot{x}}_{d}\), which is a linear combination of the desired acceleration and the error dynamics. The switching control input is \(\:{u}_{s}=-D\cdot\:sgn\left(s\right)\) where the robustness gain \(\:D=2.01\), is used to suppress disturbances near the sliding surface.
Experiment 1 will comprehensively evaluate the performance of the PEMFC system under two different operating conditions, serving as a foundation for optimizing its dynamic control strategy.
Variation of load current under different experiments (a) Experiment 1 (b) Experiment 2.
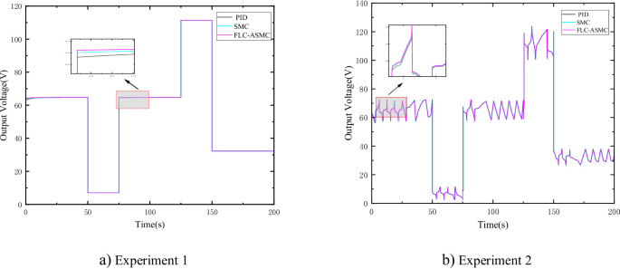
Changes in output voltage under different experiments (a) Experiment 1 (b) Experiment 2.
Figure 4a and b respectively show the load current output curves for Experiments 1 and 2, representing the different characteristics of load variations under two typical operating conditions. Figure 5a and b illustrate the output voltage responses of the three controllers under these two load current disturbance inputs. It is evident that the output response curves of the three controllers almost completely overlap, with only slight differences at the magnitude of \(\:{10}^{-5}\).
Specifically, under the load current condition represented by Experiment 1, although the input disturbance might affect the output voltage to some extent, all three controllers demonstrate good steady-state control and dynamic regulation capabilities. In the more dramatic load current variation condition of Experiment 2, the three controllers also respond quickly and maintain output voltage stability. Thus, it can be observed that all three controllers effectively suppress the impact of input disturbances on the output voltage under different load conditions, showing consistent control performance.
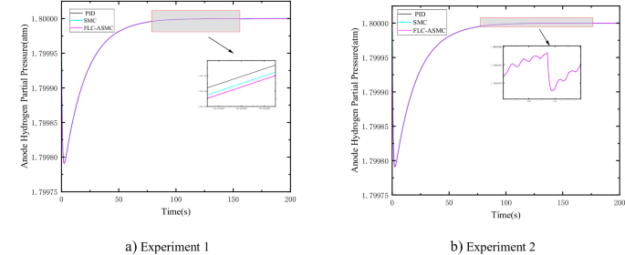
Changes in the output pressure of anode hydrogen under different experiments (a) Experiment 1 (b) Experiment 2.
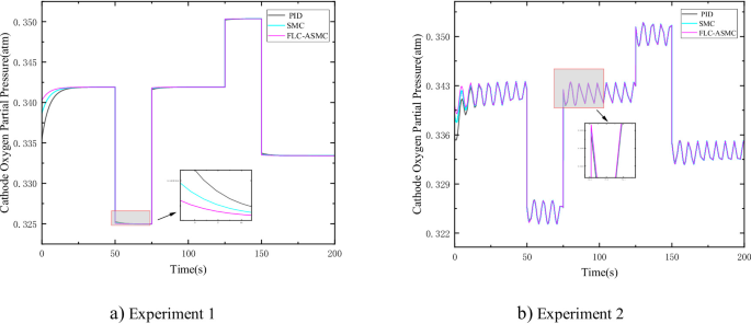
Changes in the output pressure of cathode oxygen under different experiments (a) Experiment 1 (b) Experiment 2.
Figure 6a and b respectively show the dynamic responses of anode hydrogen pressure to different load currents under two different operating conditions, while Fig. 7a and b illustrate the changes in cathode oxygen pressure under the same conditions. It can be observed that, whether in the anode or cathode, all three controllers enable the system pressures to respond rapidly and track the changes in load current, eventually stabilizing at a steady state. This indicates that the three controllers demonstrate excellent control capabilities in anode hydrogen pressure regulation and load adaptability.
Although the basic performance of all three controllers is similar under the same gain conditions, the ASMC controller successfully reduces the oscillation phenomenon commonly observed in traditional control methods by continuously adjusting parameters. This improvement is particularly noticeable during dynamic adjustments, making the system’s response smoother and more stable. Notably, the FLC-ASMC method further showcases its unique superiority in vibration suppression and precise control. This improvement not only effectively addresses inherent issues in the ASMC, but also enhances the system’s adaptability to complex operating conditions.
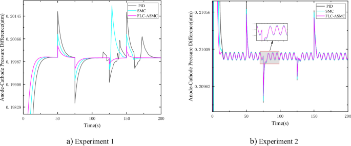
Change in the output pressure of the cathode and anode pressure difference under different experiments (a) Experiment 1 (b) Experiment 2.
From Fig. 8a and b, it can be observed that, whether under step changes in load current or a combination of step changes and sinusoidal variations in input load current, the PEMFC system controlled by the FLC-ASMC controller outperforms traditional PID control and classical SMC control. Specifically, the FLC-ASMC controller enables the system’s anode-cathode gas pressure difference to converge more quickly and accurately to the desired value of 0.2 atm, while significantly enhancing system robustness and extending the lifespan of the fuel cell. Table 3: Experimental Data Comparison of Different Controllers.
Table 3 presents a comparative analysis of the performance of three controllers (PID, SMC, and FLC-ASMC) under different disturbance conditions, focusing on two key performance metrics: settling time and overshoot. Under pure step disturbance, the FLC-ASMC controller achieves a settling time of 0.95 s, representing a reduction of approximately 37% and 27% compared to the PID (1.50 s) and SMC (1.30 s) controllers, respectively. Its overshoot is 0.053, which is 47% lower than that of PID (0.10) and 56% lower than that of SMC (0.12). Under step-plus-sine disturbance, the FLC-ASMC controller further reduces the settling time to 0.44 s, improving by 73% and 67% compared to PID (1.60 s) and SMC (1.35 s), respectively. The overshoot is also significantly reduced to 0.048, representing decreases of 52% and 46% compared to SMC and PID, respectively. In summary, the FLC-ASMC controller demonstrates superior dynamic response performance under both typical disturbance conditions, significantly enhancing system stability and responsiveness, thereby validating its control advantages in various operating environments.
Conclusion
Compared with the study by Rakhtala et al.37, which focuses on voltage tracking of PEMFCs using artificial neural networks, this work emphasizes the coordinated control of anode and cathode gas supply systems to maintain a reasonable output pressure difference, thereby reducing membrane damage and improving system stability. The proposed control strategy is based on feedback linearization, offering greater physical interpretability and robustness, and is more practical for engineering implementation than the black-box neural network model. In addition, two types of current disturbances—step and step-plus-sine—are introduced to comprehensively evaluate the controller’s dynamic adaptability. Simulation results demonstrate that the proposed method achieves faster response and smaller overshoot in pressure difference control, showing strong disturbance rejection capability and ease of implementation.
Unlike the study by Adithya Legala et al.38, which uses ANN and SVR to develop data-driven models for predicting PEMFC voltage, membrane resistance, and hydration level, this work constructs a physically based control system using feedback linearization. By directly regulating anode and cathode gas flows, the proposed method controls the output pressure difference to enhance system stability under complex load conditions. Compared to regression models that rely heavily on large datasets and lack interpretability, this approach incorporates sliding mode control strategies to significantly improve response speed and disturbance rejection while reducing dependence on extensive experimental data.
This study proposes an optimized control strategy combining feedback linearization and adaptive sliding mode control (FLC-ASMC) to address the coupling between gas flow and pressure in the anode and cathode supply systems of PEMFC. The feedback linearization method decouples the nonlinear system, reducing the impact of flow-pressure coupling and parameter uncertainties. The adaptive sliding mode control enhances dynamic response and tracking accuracy by adjusting sliding mode parameters in real-time, reducing chattering and improving system robustness. This composite control strategy optimizes fuel cell supply system performance.
However, the study’s simplified cathode air supply model assumes ideal conditions, leaving out control of subsystems like temperature, water circulation, and DC/DC boost converters. Future work can address these subsystems to improve the overall fuel cell control system.
Data availability
The data that support the findings of this study are available from the corresponding authorupon reasonable request.
References
Daud, W. R. W. et al. PEM fuel cell system control: A review. Renew. Energy. 113, 620–638 (2017).
Lian, W., et al. Identification of clean energy development routes under carbon emission constraints: A path towards structural adjustment of the power system. Journal of cleaner production, 434. (2024).
Shahzad, K., & Cheema, I. I. Low-carbon technologies in automotive industry and decarbonizing transport. J. Power Sources, 591, 233888 (2024).
Al-Shetwi, A. Q., Hannan, M. A., Jern, K. P., Mansur, M. & Mahlia, T. M. I. Grid-connected renewable energy sources: review of the recent integration requirements and control methods. J. Clean. Prod. 253, 119831 (2020).
Qasem, N. A. & Abdulrahman, G. A. A recent comprehensive review of fuel cells: history, types, and applications. Int. J. Energy Res. 2024 (1), 7271748 (2024).
Sadeghian, O., Oshnoei, A., Mohammadi-Ivatloo, B., Vahidinasab, V. & Anvari-Moghaddam, A. A comprehensive review on electric vehicles smart charging: Solutions, strategies, technologies, and challenges. J. Energy Storage. 54, 105241 (2022).
Al-Durra, A., Yurkovich, S. & Guezennec, Y. Study of nonlinear control schemes for an automotive traction PEM fuel cell system. Int. J. Hydrog. Energy. 35 (20), 11291–11307 (2010).
Zhao, Y. et al. Air and hydrogen supply systems and equipment for PEM fuel cells: A review. Int. J. Green Energy. 19 (4), 331–348 (2022).
Li, C., et al. Gas supply control and experimental validation for polymer electrolyte membrane fuel cells. Mechatronics, 91(1), (2023).
Wei, H., Du, C., Li, X., Shi, C., & Zhang, J. Research on anode pressure control and dynamic performance of proton-exchange membrane fuel cell system for vehicular application. Fuel, 358(PartB), (2024).
Zhou, S. & Jervis, R. A review of polymer electrolyte fuel cells fault diagnosis: progress and perspectives. Chemistry-Methods, 4(1), e202300030 (2024).
Zhao, J., Li, X., Shum, C., & McPhee, J. A review of physics-based and data-driven models for real-time control of polymer electrolyte membrane fuel cells. Energy AI, 6(4),97–129 (2021).
Danzer, M. A., Wilhelm, J., Aschemann, H. & Hofer, E. P. Model-based control of cathode pressure and oxygen excess ratio of a PEM fuel cell system. J. Power Sources. 176 (2), 515–522 (2008).
Song, D., et al. Feedback-linearization decoupling based coordinated control of air supply and thermal management for vehicular fuel cell system. Energy, 305 (2024).
Quan, S., Wang, Y. X., Xiao, X., He, H., & Sun, F. Feedback linearization-based MIMO model predictive control with defined pseudo-reference for hydrogen regulation of automotive fuel cells. Applied Energy, 293 (2021).
Jia, Y., Zhang, R., Zhang, T., & Fan, Z. Coordinated control of the fuel cell air supply system based on fuzzy neural. Netw. Decoupling ACS OMEGA, 6(50), 34438–34446 (2021).
Na, W. K., Gou, B. & Diong, B. Nonlinear control of PEM fuel cells by exact linearization. IEEE Trans. Ind. Appl. 43 (6), 1426–1433 (2007).
Liu, Z., Zhang, B. & Xu, S. Research on air mass flow-pressure combined control and dynamic performance of fuel cell system for vehicles application. Appl. Energy. 309, 118446 (2022).
Derbeli, M., Barambones, O., Farhat, M., Ramos-Hernanz, J. A. & Sbita, L. Robust high order sliding mode control for performance improvement of PEM fuel cell power systems. Int. J. Hydrog. Energy. 45 (53), 29222–29234 (2020).
Napole, C., Derbeli, M. & Barambones, O. A global integral terminal sliding mode control based on a novel reaching law for a proton exchange membrane fuel cell system. Appl. Energy. 301, 117473 (2021).
Li, C., Jing, H., Hu, J., Hu, G., & Deng, Y. Sliding mode control for power tracking of Proton-Exchange membrane Fuel-Cell system. J. Energy Eng., 149(3), 04023011 (2023).
Yang, D., Fu, H., Li, J. & Wang, S. A multivariable sliding mode predictive control method for the air management system of automotive fuel cells. Meas. Control. 57 (2), 139–151 (2024).
Peng, C., Xie, C., Zou, J., Jiang, X., & Zhu, Y. A feedback linearization sliding mode decoupling and fuzzy anti-surge compensation based coordinated control approach for PEMFC air supply system. Renewable Energy, 237 (2024).
Yuan, X. et al. Sliding mode controller of hydraulic generator regulating system based on the input/output feedback linearization method. Math. Comput. Simul. 119, 18–34 (2016).
Matas, J., Castilla, M., Guerrero, J. M., de Vicuña, L. G. & Miret, J. Feedback linearization of direct-drive synchronous wind-turbines via a sliding mode approach. IEEE Trans. Power Electron. 23 (3), 1093–1103 (2008).
Meng, J., Guo, Q., Yue, M. & Diallo, D. A Lyapunov-based adaptive control strategy with fault-tolerant objectives for proton exchange membrane fuel cell air supply systems. Appl. Energy. 376, 124275 (2024).
Silaa, M. Y., Bencherif, A. & Barambones, O. A novel robust adaptive sliding mode control using stochastic gradient descent for PEMFC power system. Int. J. Hydrog. Energy. 48 (45), 17277–17292 (2023).
Yin, P., Guo, J. & He, H. Backstep** sliding-mode techniques in current control of polymer electrolyte membrane fuel cell. Control Eng. Pract. 124, 105188 (2022).
Ashok, R. & Shtessel, Y. Control of fuel cell-based electric power system using adaptive sliding mode control and observation techniques. J. Franklin Inst. 352 (11), 4911–4934 (2015).
Souissi, A. Adaptive sliding mode control of a PEM fuel cell system based on the super twisting algorithm[J]. Energy Rep. 7, 3390–3399 (2021).
Jing, H., et al. Multi-Objective sliding mode control of proton exchange membrane fuel cell system based on adaptive algebraic observer. Proceedings of the Institution of Mechanical Engineers, Part A: Journal of Power and Energy, 238(2), 292–304 (2024).
Rakhtala, S. M. et al. Control of oxygen excess ratio in a PEM fuel cell system using high-order sliding-mode controller and observer[J]. Turkish J. Electr. Eng. Comput. Sci. 23 (1), 255–278 (2015).
Li, Q., Tan, H., Wang, T., Li, X. & Chen, W. An energy management strategy for multistack fuel cell hybrid locomotives with integrated optimization of system service life. IEEE Trans. Transp. Electrification. 11 (2), 5771–5780 (2025).
Li, Q. et al. Health management for PEMFC system Long-Term operation based on optimal temperature trajectory Real-Time optimization. IEEE Trans. Industr. Electron. 72 (3), 2611–2621 (2025).
Pukrushpan, J. T., Peng, H. & Stefanopoulou, A. G. Control-oriented modeling and analysis for automotive fuel cell systems[J]. J. Dyn. Sys Meas. Control. 126 (1), 14–25 (2004).
Gao, W. B. Theory and Design Method of Variable Structure Control (Trans Science, 1996).
Rakhtala, S. M., Ghaderi, R., & Ranjbar Noei, A. Proton exchange membrane fuel cell voltage-tracking using artificial neural networks[J]. Journal of Zhejiang University-Science C (Computers and Electronics), 12(4), 338–344 (2011).
Legala, A., Zhao, J., & Li, X. Machine learning modeling for proton exchange membrane fuel cell performance[J]. Energy and AI, 10(4), 1–16 (2022).
Acknowledgements
This work was supported by Ministry of Education Humanities and Social Sciences ( Project no. 20YJCZH027to FSX), Key topics of the committee of education ministry (Project no. JZW2021030 to FSX), ShanghaiEducational Science Research Program – Philosophy and Social Sciences Research Project for ShanghaiUniversities (Project no. 2024ZSW003 to FSX), Shanghai Key Course Construction: Logistics Economics(Project no. 2023 to FSX, and key course construction of e-commerce in Shanghai Dianji Unive.
Author information
Authors and Affiliations
Contributions
Sixia Fan: Writing – Review & Edit, Writing – Manuscript, Supervision, Visualization, Validation, Methodology, Resources, Project Management, Funding Acquisition. Shuqi Xu: Writing - Review & Editing, Writing - Manuscripts, Software, Visualization, Validation, Methodology, Surveys, Formal Analysis, Data Management, Conceptualization.
Corresponding author
Ethics declarations
Competing interests
The authors declare no competing interests.
Additional information
Publisher’s note
Springer Nature remains neutral with regard to jurisdictional claims in published maps and institutional affiliations.
Rights and permissions
Open Access This article is licensed under a Creative Commons Attribution-NonCommercial-NoDerivatives 4.0 International License, which permits any non-commercial use, sharing, distribution and reproduction in any medium or format, as long as you give appropriate credit to the original author(s) and the source, provide a link to the Creative Commons licence, and indicate if you modified the licensed material. You do not have permission under this licence to share adapted material derived from this article or parts of it. The images or other third party material in this article are included in the article’s Creative Commons licence, unless indicated otherwise in a credit line to the material. If material is not included in the article’s Creative Commons licence and your intended use is not permitted by statutory regulation or exceeds the permitted use, you will need to obtain permission directly from the copyright holder. To view a copy of this licence, visit http://creativecommons.org/licenses/by-nc-nd/4.0/.
About this article
Cite this article
Fan, S., Xu, S. Optimal fuel cell control modeling with feedback linearization and adaptive sliding mode control. Sci Rep 16, 5621 (2026). https://doi.org/10.1038/s41598-026-35888-6
Received:
Accepted:
Published:
Version of record:
DOI: https://doi.org/10.1038/s41598-026-35888-6










