Fig. 21

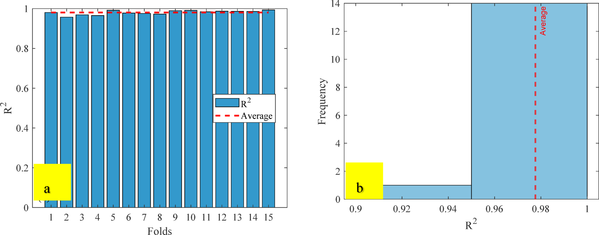
ANN K-fold cross-validation results: (a) R² values across individual folds for training and testing datasets, and (b) frequency distribution of R² values showing model stability and generalization.

ANN K-fold cross-validation results: (a) R² values across individual folds for training and testing datasets, and (b) frequency distribution of R² values showing model stability and generalization.