Fig. 9

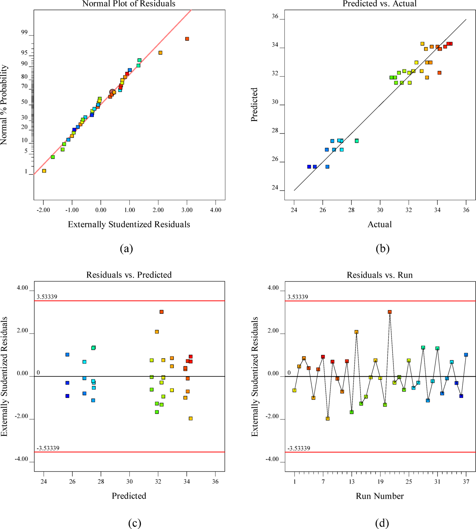
Validation plots for the 28-day RSM model: (a) normal probability of residuals, (b) predicted vs. actual values, (c) residuals vs. predicted values, and (d) residuals vs. run number.

Validation plots for the 28-day RSM model: (a) normal probability of residuals, (b) predicted vs. actual values, (c) residuals vs. predicted values, and (d) residuals vs. run number.