Abstract
The phase transition characteristics of tailings slurry have a significant impact on the diffusion mechanism of tailings slurry during long-duration grouting. To investigate the diffusion mechanism of tailings slurry in porous media, a Bingham rheological constitutive model was proposed, based on the previous Bingham rheological model, in which both viscosity and yield stress change with time. The rheological properties of the slurry at different temperatures and water-cement ratios were measured through laboratory experiments, and a phase transition constitutive equation was established. Considering the phase transition process of the slurry and the characteristics of the porous media, the diffusion equation of the tailings slurry was derived. Simultaneously, grouting simulation experiments were conducted to verify the correctness of the aforementioned diffusion theory and to obtain the grouting pressure-time development relationship. The results show that under different conditions, the shear stress-shear rate relationship of the slurry conforms to the Bingham constitutive model, with a coefficient of determination exceeding 0.95. The yield stress and viscosity of the slurry increase with increasing temperature and decreasing water-cement ratio. The trends of yield stress-time and viscosity-time changes both satisfy a quadratic function relationship. The water-cement ratio has a greater influence on the rheological properties of the slurry than temperature. Compared with the results of grouting simulation tests, the overall error of the Bingham rheological model theoretical calculation results, in which both yield stress and viscosity change with time, is controlled within 10%. During the grouting process, the pressure-time relationship of tailings slurry in porous media shows a clear “two-stage” growth trend.
Similar content being viewed by others
Introduction
With the development of the global mining industry, a large amount of fine-grained tailings are generated every year. The accumulation of these tailings not only occupies limited land resources, but also causes problems such as land subsidence and heavy metal pollution1,2. In order to achieve sustainable development and promote the recycling of natural resources, researchers at home and abroad have begun to explore the application scenarios of fine-grained tailings. Incorporating tailings into the mortar system of grouting materials has become an effective engineering measure3,4,5, with broad development prospects. At present, tailings slurry is often used for backfilling grouting in mining goaf areas6 and for reinforcing tailings dam faces7.
However, grouting is a complex hydraulic coupling process8. Traditional grouting theory holds that the grout is in a liquid state throughout the grouting process and has good fluidity. In reality, the grout often undergoes a phase change (i.e., the liquid state changes to the solid state) during the flow process. If the entire grouting process lasts for a long time, the theoretically calculated grout diffusion radius will be much larger than the actual grout diffusion radius, which will also lead to a smaller actual grouting pressure. Since the pore channel characteristics of the actual grouting medium are very complex and difficult to accurately characterize with mathematical formulas, most studies currently simplify the pore channel to a cylindrical shape and ignore the tortuous effect of the channel, resulting in the theoretically calculated grout diffusion radius being larger than the actual grout diffusion radius. The existence of the above two points makes the development of grouting theory far behind engineering practice. Therefore, it is necessary to combine the characteristics of the grout and the grouting material to propose a new grout diffusion theory to analyze the diffusion characteristics of the grout in the grouting stratum, so as to achieve the purpose of optimizing grouting parameters.
In terms of slurry rheological properties, scholars have conducted extensive research on the flow characteristics of slurry based on different constitutive models. Lu et al.9 studied the diffusion law of cemented slurry in weakly consolidated strata based on the power law constitutive model. The maximum error between the theoretical calculation value and the experimental result was 20%, which fully demonstrated the effectiveness of the mathematical model. Du et al.10 proposed a new slurry permeation model based on fractal theory. Considering the complexity of pore channels, they calculated the permeation distance of slurry in soil. The results showed that the slurry permeation distance was the farthest when the grouting pressure was high, the flow rate was low, the consistency coefficient was low, and the fluidity index was low. Du et al.11 proposed a diffusion model based on the grouting depth and time of the weak bottom layer. Through calculation, they found that the slurry diffusion distance was relatively far when the slurry flow rate and grouting pressure were both small. Liao Weilin et al.12 studied the influence of slurry concentration and tailings particle composition on the rheological properties of slurry and conducted a sensitivity analysis on the two factors. Yang Chao et al.13 systematically studied the basic characteristics of copper tailings slurry from the aspects of slurry fluidity, slump, and critical velocity. Wang Changjun et al.14 systematically studied the particle distribution, chemical composition, mineral composition and particle morphology of tailings, and systematically studied the effects of admixture dosage and water-cement ratio on the rheological properties of gold tailings sand cement grouting material from both macroscopic and microscopic perspectives through a single-factor experimental system combined with SEM analysis. Chen Deng et al.15 studied the effects of different iron tailings slag dosages on the shear characteristics of tailings slurry, taking into account hydration products and hydration degree.
The diffusion process of tailings slurry in the medium is essentially a dynamic competition of seepage, filtration loss, and blockage, which is jointly controlled by pore structure, slurry rheology, and liquid phase change time. Zeng Yifan et al.16 conducted a slurry diffusion test considering slurry concentration and particle size, and derived the slurry diffusion distance control equation. Zhu Xianxiang et al.17 regarded the slurry as a power-law fluid and established the seepage diffusion equation of the slurry in the water-rich sand layer under the premise of considering the slurry-water replacement effect. Zhang Lianzhen et al.18 constructed a uniform capillary group model to characterize the grout seepage process and derived the one-dimensional permeation grout diffusion theory of time-varying viscosity Bingham grout under constant grouting rate conditions.
Although the above studies have derived the diffusion mechanism of grout in porous media under different conditions and promoted the development of grouting theory, two problems exist: First, they assume that the yield stress of the grout is constant and characterize the characteristic that the diffusion resistance of the grout gradually increases with time by changing the viscosity, neglecting the phase change characteristics of the grout during the grouting process; Secondly, it is believed that the pore channels of porous media are straight and have no tortuous effect. The aforementioned problems have led to a discrepancy between existing grouting theories and actual conditions. To ensure that grouting parameters are reasonable and the grouting effect meets expectations, it is necessary to improve upon these problems.
Based on rheological experiments of tailings slurry, this paper constructs a rheological constitutive equation for tailings slurry in which both yield stress and viscosity vary with time, to describe the phase transition characteristics of tailings slurry. Meanwhile, considering the tortuosity of the pore channels in the porous medium, a grouting diffusion model for tailings slurry under constant grouting rate was derived, and the correctness of the above theory was verified by grouting simulation test, obtaining the relationship between grouting pressure and time.
Constitutive relationship of tailings slurry considering phase transformation characteristics
Constitutive relationship characterization of tailings slurry
After the components of the tailings slurry are mixed, the gelation reaction begins. The tailings slurry gradually transforms from a liquid phase to a solid phase within 2–3 h. The phase change of the tailings slurry can be divided into three stages: (1) Flow stage: The slurry has strong fluidity and minimal resistance, exhibiting pure fluid characteristics; (2) Intermediate stage: In this stage, the fluidity of the slurry decreases with time, and the resistance increases, exhibiting fluid-solid two-phase characteristics; (3) Solid stage: The slurry has completely lost its fluidity and exhibits pure solid characteristics.
During the phase transition of tailings slurry, both the slurry viscosity and shear stress change with the extension of the gelation reaction time. In order to more accurately describe the diffusion mechanism of tailings slurry injection, a suitable constitutive model of tailings slurry should be selected first. The traditional Newton rheological constitutive model believes that the characteristic of the flow resistance increasing with time during the phase change of slurry can be fully reflected by viscosity19,20. However, practice has shown that viscosity can only describe the liquid phase properties of slurry and cannot reflect the solid phase changes of slurry; Later, researchers considered the slurry as Bingham fluid21, but at the same time believed that the yield stress was a constant and could not take into account the entire phase change process of the tailings slurry. Considering the phase transformation characteristics of tailings slurry, the yield stress is regarded as a variable22, and the bivariate Bingham rheological model is used to describe the change characteristics of tailings slurry throughout the phase transformation process.
In the formula, \(\tau\)is the shear stress; t represents the time during which the gelation reaction occurs after the components of the tailings slurry are mixed༛\({\tau _r}(t)\)is a function representing the change in yield stress of the tailings slurry throughout the reaction process. It can be obtained experimentally. Regardless of the functional form of \({\tau _r}(t)\), it follows the rule that the yield stress gradually increases with time༛\(\mu (t)\)is a function representing the change in the viscosity of the tailings slurry throughout the entire reaction process, and can also be determined experimentally; \(\gamma\) is the shear rate, \(\gamma = - \frac{{d\nu }}{{dh}}\), \(\nu\)is the tailings slurry flow rate, h is the distance traveled perpendicular to the direction of slurry flow.
Characteristics of yield stress and viscosity variation in tailings slurry based on Bingham rheological model
Verification of the Bingham rheological constitutive model for tailings slurry
To verify whether the rheological properties of tailings slurry conform to the Bingham constitutive model, tailings slurry rheological property tests must be conducted. The equipment used in the experiment is shown in Fig. 1, including a rotary rheometer, a data acquisition device (computer), an electric stirring device, and a constant temperature water circulation device. During the experiment, according to the different sample ratios, the corresponding mass of each component of the tailings slurry was weighed and placed into the cylinder of the stirring device for thorough stirring. Then, the tailings slurry in the cylinder was poured into the inner layer of the double-layer beaker on the tray of the rotary rheometer. At this time, the constant temperature water circulation device was turned on. The inlet and outlet of the device, which are directly connected to the cavity of the double-layer beaker, ensured the constant water temperature in the cavity of the double-layer beaker, thereby controlling the constant temperature state of the slurry sample during the experiment.
Test system for the rheological properties of tailings slurry.
Tailings slurry is prepared by mixing fine-grained tailings, cement, lime, fly ash, and water in a certain proportion. The cement, lime, and fly ash used in the experiment meet the requirements of national standards such as “General Portland Cement” (GB 175–2023), “Limestone Powder Concrete” (GB/T 30190 − 2013), and “Fly Ash Used in Cement and Concrete” (GB/T 1596–2017). The cement used is 42.5R ordinary Portland cement, and the tailings are taken from Wangjiazhuang tailings pond in Luoyang City, Henan Province. The particle size distribution and mineral composition of the tailings are shown in Fig. 2(a) and (b), respectively. The fly ash used is Grade I fly ash from Luohe Power Plant, with a specific surface area of 294 m²/kg. The lime used is self-ground fine quicklime with an effective CaO content higher than 80%.
Particle size distribution and mineral composition of tailings.
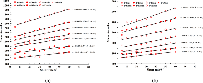
Rheological tests were conducted using an Austrian Anton Paar-MCR 302e rotational rheometer. Each test sample was measured three times, and the average value was taken. The shear rate-stress relationship of the tailings slurry under different conditions is shown in Fig. 3(a) and (b). As can be seen from the figures, the shear rate and shear stress of the tailings slurry under different conditions show a linear relationship, and the average coefficient of determination is above 0.95, indicating that the rheological properties of the tailings slurry conform to the Bingham rheological model described by Eq. (1).
Shear rate-stress relationship of tailings slurry under different conditions: a W/C = 2.0, T = 25℃, b W/C = 3.0, T = 10℃.
Variation of rheological characteristics of tailings slurry under different conditions
To study the effects of different factors on the rheological properties of tailings slurry, the water-cement ratio (W/C) and temperature were determined as experimental variables. The water-cement ratio (W/C) was selected from three commonly used levels: 1.0, 2.0, and 3.0, and the ratio of fly ash to lime was fixed at 1:1. According to a 2024 report by the National Mine Safety Administration of China, among the 32 provincial-level regions in China, Hebei, Liaoning, Inner Mongolia, Yunnan, Henan, and Shanxi have a large number of tailings ponds. Considering the temperature distribution of these regions over the years and taking into account the actual situation (too low a temperature will cause the tailings slurry to freeze, affecting the normal conduct of the test; too high a temperature will cause the free water in the slurry to evaporate too quickly, making it impossible to measure the true rheological properties of the slurry), the test temperatures were set at 10℃, 25℃, and 50℃.
-
(1)
Effect of water-cement ratio on the rheological properties of tailings slurry.
The test temperature was controlled at 25℃, and the water-cement ratio W/C of the slurry was changed. The shear rate-stress relationship of the tailings slurry at different times was measured as shown in Figs. 4(a), (c), and (e). As shown in the figure, the shear stress-rate curves of the slurry under different water-cement ratios follow the same variation law: initially, the slurry is in a fluid state with high fluidity. The resistance encountered when the rheometer’s vane rotates in shear mode is small. At this point, the slurry shear stress is below the equipment’s lower measurement limit, and the measured value is 0. As time progresses, the slurry gradually transitions from the fluid stage to the intermediate stage, with a significant increase in viscosity and shear stress, reaching the range of the instrument. With the continued occurrence of the cement hydration reaction, the proportion of the solid phase in the slurry gradually increases, leading to increased slurry viscosity and consequently, increased resistance to the rotation of the instrument’s crossbeam. Taking a water-cement ratio (W/C) of 3.0 as an example, when the shear rate is 20, the corresponding shear stresses at 30 min, 90 min, and 150 min are 402.32 Pa, 543.87 Pa, and 833.31 Pa, respectively, representing year-on-year increases of 35% and 107%.
Figures 4(b), (d), and (f) show the relationship between yield stress and viscosity of tailings slurry over time under different water-cement ratios (W/C) following the Bingham rheological model. As shown in the figure, the yield stress \({\tau _0}(t)\) (intercept of the stress-rate fitting line) and viscosity \(u(t)\) (slope of the stress-rate fitting line) of the tailings slurry increase with time, exhibiting a positive proportional relationship. Using 20 min as the dividing point, before 20 min, the yield stress and viscosity of the slurry increase slowly, while after 20 min, the yield stress and viscosity of the slurry increase rapidly. Meanwhile, the growth patterns of yield stress and viscosity over time both satisfy the quadratic function form shown in Eq. (2), with coefficients of determination both above 0.95. As the water-cement ratio gradually decreases, both the yield stress-time function and the viscosity-time function satisfy the variation law that the coefficient of the first term b and the constant term c gradually increase, while the coefficient of the quadratic term a gradually decreases.
In the formula, a, b, c are constants.
From a microscopic perspective, the reason why the peak shear stress of the slurry decreased from 2432.55 Pa to 1915.40 Pa and finally to 1497.52 Pa as the water-cement ratio increased may be due to the following three aspects:
(1) The cement hydration reaction mainly produces calcium silicate hydrates (C-S-H) and Ca(OH)2. As the water-cement ratio decreases, the lower water content accelerates the forward hydration reaction. The large amount of C-S-H gel generated wraps around the tailings particles like fibers, which enhances the van der Waals forces and electrostatic repulsion between the particles to a certain extent; (2) The reaction of lime with water to form Ca(OH)₂ activates SiO₂ and Al₂O₃ in fly ash, causing a pozzolanic reaction that forms secondary C-S-H and ettringite. The low water-ash ratio promotes the exothermic reaction in the lime digestion process. The released heat accelerates the dissolution and reaction of fly ash, leading to the precipitation of more cementitious products. These products fill the voids between tailings particles, increasing the “skeleton strength” of the slurry; (3) Fine-grained tailings, acting as inert fillers, readily adsorb hydrated ions (Ca²⁺) on their surface. Adsorption is enhanced at low water-cement ratios, forming ion bridges, increasing interparticle flocculation, and amplifying rheological effects. These three factors combined result in tailings slurry with low water-cement ratios exhibiting higher yield stress and viscosity on a macroscopic scale.
Shear stress-rate variation of tailings slurry under different water-cement ratios. a W/C = 3.0, shear stress-rate relationship at different times, b W/C = 3.0, variation of slurry yield stress and viscosity at different times, c W/C = 2.0, shear stress-rate relationship at different times, d W/C = 2.0, variation of slurry yield stress and viscosity at different times, e W/C = 1.0, shear stress-rate relationship at different times, f W/C = 1.0, variation of slurry yield stress and viscosity at different times.
-
(2)
Effect of temperature on the rheological properties of tailings slurry.
With the water-cement ratio controlled at 3.0, the shear rate-shear stress relationship of the tailings slurry at different temperatures is shown in Fig. 5. As can be seen from the figure, as the ambient temperature increases, the shear stress of the slurry gradually increases. At 10℃, the maximum shear stress of the slurry is 1396.9 Pa. When the temperature increases from 10℃ to 25℃, the maximum shear stress of the slurry increases to 1497.5 Pa, an increase of 7.2%. When the temperature increases from 25℃ to 50℃, the maximum shear stress of the slurry increases by 179.9 Pa, an increase of 12.0%. Meanwhile, the relationship between the yield stress and viscosity of the slurry and time also conforms to the form of a quadratic function as shown in Eq. (2). Moreover, as the temperature increases, the coefficients of the first term and the constant term of the yield stress-time function decrease, while the coefficient of the quadratic term of the viscosity-time function gradually decreases.
The reasons for the above phenomenon may be: as the temperature continues to rise, according to the Arrhenius equation, the activation energy of the cement hydration reaction decreases, the hydration rate of C₃S and C₂S accelerates, and more network-like C-S-H cementitious materials are generated. At the same time, the high temperature promotes the exothermic reaction of lime, accelerates the dissolution and reaction of fly ash, and forms a large amount of secondary C-S-H, thereby increasing the rigidity and yield stress of the slurry.
Based on the above experimental results, the functional relationship between the yield stress and viscosity of tailings slurry under different proportion parameters and external conditions and time was obtained. Substituting this into the Bingham rheological constitutive equation shown in Eq. (1), the tailings slurry constitutive equation for practical engineering can be obtained as shown in Table 1.
Shear stress-rate variation of tailings slurry at different temperatures.
Theoretical model of tailings slurry diffusion
After the tailings slurry is prepared at room temperature, it is injected into the porous medium via grouting machinery. Due to the temperature difference between the slurry and the medium, heat exchange occurs as the slurry flows through the pores. During this heat exchange process, the viscosity and yield stress of the slurry continuously change. Coupled with the anisotropy of the porous medium, this results in the diffusion of the slurry in the porous medium being an extremely complex process. In the past, scholars have conducted extensive research on grouting diffusion theory and proposed advanced models such as diffusion models considering permeation effects23,24, spherical or cylindrical diffusion models25, and diffusion models considering slurry viscosity and capillary permeation26, etc., to describe the laws of slurry diffusion, thereby promoting the development of grouting theory. However, the aforementioned models have some issues: (1) Regardless of the slurry constitutive model adopted, the yield stress is considered a constant value, without accounting for the phase change phenomena during the slurry diffusion process; (2) It is assumed that the axis of the slurry diffusion channel is straight, with no bending situations. The presence of these reasons causes traditional diffusion models to often deviate significantly from actual conditions in application, leading to unreasonable selection of grouting parameters. Therefore, it is necessary to improve the above models.
Basic assumptions
In actual situations, grouting is an extremely complex process involving multiple disciplines such as fluid mechanics, solid mechanics, chemistry, and thermodynamics. Considering the anisotropy of the pore channels in porous media, along with the loss of slurry, makes the slurry diffusion process highly “hidden” and difficult to quantitatively describe using mathematical equations. To describe the specific flow characteristics of the slurry, it is necessary to simplify some secondary aspects.
Basic Assumptions of the Theoretical Model for Tailings Slurry Diffusion in Porous Media:
-
(1)
The tailings slurry and its components are all incompressible media, isotropic, and the rheological properties of the slurry follow the Bingham rheological model. The viscosity and yield stress of the slurry change with time.
-
(2)
The cross-section of the pore channel of the porous medium is uniformly simplified to a circle with a radius of R. The diffusion process of the slurry is a complete permeation mode, and the flow of the slurry in the pore channel is a laminar flow motion.
-
(3)
The grouting rate is constant, and the grout flows only in the pore channels during the grouting process. The flow velocity of the grout at the sidewall of the pore channels is 0.
Basic equation for diffusion of tailings slurry in porous media
In a circular tubular pore channel, considering the axial flow of tailings slurry (assumed to be in the Z direction), the Navier-Stokes equation simplifies to the momentum conservation equation as shown in Eq. (3):
In the formula, r represents the distance from a point in the pore channel to the channel axis, \({\tau _r}\) is the shear stress, \(\frac{{dp}}{{d{l_t}}}\) is the pressure gradient, it is the reason that drives the slurry to flow in the pore channels, \({l_t}\) represents the distance the slurry travels along the axial direction, taking into account the tortuosity of the pore channels, as shown in Fig. 6.
Theoretical model of porous media tailings slurry injection.
Integrating both sides of Eq. (3) with respect to r, substitute the condition \(r=0\), removing the constant term, we obtain the shear stress distribution equation as follows:
Bingham fluid has a core region where \({\tau _r} \leqslant {\tau _0}\), meaning the slurry in this region experiences no shear deformation and no further relative flow. Substituting this into Eq. (4), we obtain the yield radius \({r_0}\) of this region as:
The existence of the yield radius \({r_0}\) divides the flow of slurry in the pore channels into two regions: when \(0 \leqslant r \leqslant {r_0}\), it is the inner region, in which there is no flow deformation; when \({r_0} \leqslant r \leqslant R\), it is the outer region, in which slurry flow occurs.
In the outer region, the Bingham rheological model of Eq. (1) can be expressed as follows:
Assuming all flows are positive, i.e., \(\frac{{d\nu }}{{dr}}<0\), and substituting Eq. (4) into the equation, Eq. (6) can be transformed into:
Integrating Eq. (7) over the interval from r to R, and then transforming it, we get:
Integrating Eq. (8) over \(\left[ {r,R} \right]\) with respect to \(r^{\prime}\), and considering the boundary condition that the slurry velocity is 0 at the pore channel sidewall, Eq. (8) is equivalent to:
To obtain the pressure gradient of the tailings slurry along the axial direction, the average flow velocity of the slurry in the entire pore channel must first be calculated. Since the yield radius \({r_0}\) divides the entire pore channel into two regions, Eq. (9) should be integrated on \(\left[ {0,{r_0}} \right]\) and \(\left[ {{r_0},R} \right]\) respectively:
In the formula, \(\zeta\) is the factor coefficient, which is dimensionless,\(\zeta =\frac{{{r_0}}}{R}\)。.
Since\(\zeta\) < 1, to simplify the calculation, higher-order terms are ignored. After rearranging, the pressure gradient equation of tailings slurry in a single pore channel, following the Bingham constitutive model, is obtained:
As shown in Fig. 6, \({l_t}\)represents the distance the slurry travels along the axial direction in the pore channel, and \({l_0}\) represents the straight-line distance between the beginning and end of the flow. Both are related by \({l_t}=\eta {l_0}\), where\(\eta\) is the reduction factor. Therefore, the pressure gradient equation can be rewritten as follows:
According to the research of Zhang Qingsong et al.27,28,29, the macroscopic seepage velocity (Darcy velocity) at any location in a porous medium is related to the average seepage velocity of that seepage channel as follows:
In the formula, \(\varphi\) is the porosity, \({v_d}\)represents the macroscopic Darcy speed, satisfying \({v_d}=\frac{q}{S}\), where q is the grouting flow rate and S is the cross-sectional area of the pore channel. substituting Eq. (13) into Eq. (12) and rearranging, we get:
References22,27 give the reduction factor \(\eta\) satisfying \(\frac{{{l_t}}}{{{l_0}}}=\eta =\frac{{\varphi {r^2}}}{{8K}}\), where K is the permeability coefficient, then Eq. (13) can be expressed as:
In the formula, \(\alpha\)is the threshold gradient coefficient, \(\alpha =\frac{{2\sqrt 2 }}{3} \cdot \sqrt {\frac{{\varphi \eta }}{K}} {\tau _0}\).
In actual grouting, the shear stress \(\tau\) and viscosity u of the tailings slurry during the phase transformation after injection are functions of both time and spatial location. The slurry age \(age({l_0},{t_0})\) is defined as the time elapsed from the time the slurry is injected to time t, and the slurry age \(age({l_0},{t_0})\) can be expressed by Eq. (16):
Since grout loss is not considered during grouting, the position \(L(t)\) of the grout front is determined by equation \(L(t)=\frac{{qt}}{{S\varphi }}\) according to the law of conservation of mass. Correspondingly, the viscosity and shear stress of the grout at a certain position can be expressed as:
Substituting Eq. (17) into Eq. (15) and rearranging, we obtain Eq. (18):
In Eq. (18), \(u({l_0},{t_0})\) and \({\tau _0}({l_0},{t_0})\) are rheological parameters at position \({l_0}\), reflecting the phase change characteristics of the grout at different ages. The grouting pressure \({p_c}(t)\) is the sum of the pressure \({l_0}=L(t)\) at position \({p_0}\) and the pressure decrease from position \({l_0}=0\) to position \({l_0}=L(t)\):
Simulation test of fine-grained tailings grouting
Equation (19) gives the relationship between grouting pressure and grouting time considering the phase change characteristics of grout during the grouting process. In order to verify the correctness of the proposed theoretical model, a tailings slurry grouting diffusion mechanism simulation device was designed, which includes equipment such as grouting pump, slurry delivery pipeline, manual valve, grouting test container, pressure sensor, flow sensor, and data acquisition instrument, as shown in Fig. 7, to simulate the real diffusion of tailings slurry in porous media.
Grouting simulation test system.
The grouting test container consists of two layers, an inner and an outer layer, with a constant temperature device between the inner and outer walls. It has an inner diameter of 40 cm, an outer diameter of 45 cm, and a height of 2.4 m. The inner and outer shells are made of steel and can withstand a maximum pressure of 20 MPa. The grout delivery pipe has an outer diameter of 10 cm and is made of high-density PVC material. It has a built-in high-strength steel wire cage to prevent the pipe from breaking due to excessive grouting pressure. The pressure sensor is an FMTKSG type with a range of 0 ~ 100 MPa and a sampling frequency of 10 Hz.
Considering the influence of temperature and water-cement ratio during the phase change process of tailings slurry, four variables were set: grouting flow rate, ambient temperature, slurry water-cement ratio, and the type of porous media material to be grouted. Specifically, the grouting flow rate was set at three levels: 2 L/min, 3 L/min, and 4 L/min; the ambient temperature was set at three levels: 10℃, 25℃, and 50℃; the slurry water-cement ratio was set at three levels: 3.0, 2.0, and 1.0; and the type of porous media material to be grouted was set at three levels: fine tailings sand, fine tailings sand plus tailings silt, and tailings silt plus tailings soil, as shown in Fig. 8. The material parameters are shown in Table 2. The corresponding orthogonal experimental conditions are shown in Table 3.
Grouted porous media material.
The grouting test is carried out in the following steps: (1) The grouting material is filled in layers inside the grouting container, with each layer being 20 cm. After each layer is filled, a temperature sensor and a pressure sensor are placed. The sensors are numbered 1–12 from top to bottom until the container is filled. (2) When the tailings material is filled in layers, the prepared tailings material is transported from the top opening of the grouting test device to the corresponding position through a PVC pipe. After the layer is filled, it is leveled by manual smoothing and then compacted by an automatic compactor. The compaction degree is controlled to be 82%, which is consistent with the actual project. (3) Then, dig a circular hole with a diameter of 5 cm and a depth of 20 cm in the center of the container and put the grout delivery pipe in; (4) Fill the inner and outer wall interlayer of the grouting test container with water, then seal the top of the container and compact the cover with a fastening device; (5) Determine the corresponding test temperature a℃ according to the test conditions, and use a constant temperature device to adjust the water in the container interlayer to the corresponding temperature until all internal temperature sensor readings meet a ± 2℃; (6) Weigh the corresponding mass of water, fly ash, lime, tailings, cement and other materials according to the test conditions, put them into the fully automatic mixing machine, and mix them thoroughly; (7) Turn on the data monitoring equipment and start collecting grouting data; (8) Turn on the grouting pump, adjust the grouting flow rate by adjusting the valve opening, and set the initial grouting pressure to 50 kPa.
Figure 9 shows the variation of grouting pressure with time at different positions under working condition 7. From the figure, it can be seen that the slurry pressures at different positions exhibit the same changing trend, all continuously increasing with the extension of time. As the distance from the sensor location to the slurry outlet increases, the slurry diffusion length increases, and the resistance encountered becomes greater. At the same moment, the slurry pressures at different positions gradually decrease.
Grout pressure at different locations under operating condition 7.
Figure 10 shows the curves of grouting pressure measured by pressure sensor #1 under different test conditions and grout pressure calculated by different theoretical models as a function of time. The previous Bingham model calculation results shown in the figure refer to the Bingham model calculation results with the yield stress fixed at the initial value. For details, please refer to references30,31,32. As shown in the figure, with the extension of grouting time, the grouting pressure under different working conditions exhibits a “two-stage” growth trend. In the first stage, the grouting pressure and grouting time have a linear relationship, showing a stable increase, but the growth coefficient varies under different working conditions. In the second stage, the grouting pressure and grouting time have a quadratic or exponential relationship, showing a rapid increase. Meanwhile, the time of the boundary between the two growth stages of the grouting pressure-time curve differs under different working conditions, generally varying between 14 min and 27 min. The greater the rate of increase in grouting pressure, the earlier the start time of the rapid growth stage of the grouting pressure-time curve.
The magnitude of grouting pressure is the result of the combined effects of grout characteristics and the characteristics of the grouting medium. Taking condition 9 as an example, because condition 9 corresponds to the lowest water-cement ratio (W/C = 1.0) and the highest ambient temperature (T = 50℃), the yield stress and viscosity of the grout under this condition are significantly higher than those under other conditions at the same time. At the same time, the permeability coefficient of the grouting medium under this condition is the lowest (k = 3.19 × 10–4 cm/s), and the grouting rate is the highest (4 L/min), which makes the rate of increase of grouting pressure much greater than that under other conditions, and the final value of grouting pressure is also the highest. The measured values of grouting pressure at the final moment under different working conditions, from largest to smallest, are as follows: 10.12 MPa (working condition 9), 5.95 MPa (working condition 4), 4.26 MPa (working condition 7), 3.38 MPa (working condition 8), 2.39 MPa (working condition 3), 2.34 MPa (working condition 5), 1.67 MPa (working condition 6), 1.58 MPa (working condition 2), and 0.87 MPa (working condition 1).
Comparing the grouting pressure-time relationship curves under different grout constitutive models reveals that, compared to the previous Bingham rheological model with a fixed yield stress, the variable yield stress Bingham rheological model, which considers the phase transformation process of tailings slurry, is closer to the grouting test results. Furthermore, due to the fixed yield stress, the calculation results of the previous Bingham rheological model are lower than those of the model used in this paper. Compared to the grouting test results, the error reduction of the calculation results of the model used in this paper under different working conditions compared to the previous Bingham model is as follows: 14% (Working Condition 9), 17% (Working Condition 4), 13% (Working Condition 7), 18% (Working Condition 8), 6% (Working Condition 3), 10% (Working Condition 5), 10% (Working Condition 6), 8% (Working Condition 2), and 5% (Working Condition 1).
Grouting pressure-time relationship curve.
Discussion
-
(1)
The inner diameter of the experimental setup described in this paper is 40 cm, which has certain boundary effects compared to actual conditions. These effects are mainly manifested in the following ways: the grout diffuses simultaneously in both horizontal and vertical directions in porous media. Since the grouting experimental setup has an inner diameter of 40 cm and a height of 2.4 m, the time it takes for the grout to reach the inner wall of the container in the horizontal direction is shorter than the time it takes for it to reach the bottom of the container in the vertical direction. Once the grout diffuses to the inner wall of the container in the horizontal direction, under the pressure of the grouting, it will diffuse vertically at the inner wall, resulting in a higher grouting pressure value at the detection point.
-
(2)
The grout diffusion theory model proposed in this paper is applicable to the diffusion of grout conforming to Bingham rheological constitutive models in fine porous media (such as soil, tailings, and gravel). Whether this theory can be used to guide fracture grouting requires further research.
-
(3)
The matching relationship between the particle size of the cemented grout solids and the pore size of the porous media is also a problem worth considering. Existing research9 has shown that if the particle size of the cementing grout solid particles is not well matched with the porous medium, the solid phase and liquid phase of the grout will be separated during the grouting process. Reference33 suggests that if the maximum particle size of the solid particles in the grout is a, then the minimum diameter of the pore channel should be greater than 3a in order to prevent the solid phase and liquid phase from separating during the grouting process.
Conclusion
-
(1)
Under different temperatures (T = 10℃, 25℃, 50℃) and water-cement ratios (W/C = 3.0, 2.0, 1.0), the shear stress-shear rate relationship of the tailings slurry satisfies the Bingham rheological constitutive model of yield stress variation, with an average coefficient of determination above 0.95. With the increase of water-cement ratio and temperature, the viscosity and yield stress of the tailings slurry both increase, and the trends of yield stress-time and viscosity-time of the slurry both satisfy a quadratic function relationship.
-
(2)
With the increase of water-cement ratio (from 1.0→2.0→3.0), the peak shear stress of the slurry decreased from 2432.55 Pa to 1915.40 Pa, and finally to 1497.52 Pa, with decreases of 21.3% and 21.8%, respectively; with the increase of temperature (10℃→25℃→50℃), the peak shear stress of the tailings slurry increased by 7.2% and 12%, respectively. This indicates that the water-cement ratio has a greater effect on the rheological properties of the slurry than the temperature.
-
(3)
Based on the Bingham rheological model where both yield stress and viscosity vary with time, and considering the tortuous pore channels in porous media and the phase change of the slurry during diffusion, the diffusion equation of tailings slurry in porous media was derived. The accuracy of the diffusion equation was verified by combining simulated grouting experiments. Experimental results show that, compared to the Bingham rheological model with a fixed yield stress, the overall error between the theoretical calculation results and experimental results of the Bingham rheological model where both yield stress and viscosity vary with time is controlled within 10%.
-
(4)
During the grouting process, the pressure-time relationship of the tailings slurry in the porous medium shows an obvious “two-stage” growth trend. As the slurry viscosity increases and the permeability coefficient of the porous medium decreases, the time of the “two-stage” boundary gradually moves forward.
Data availability
The datasets generated and analysed during the current study are not publicly available due to the fact that the project is a key project and the data at the measuring points have certain confidentiality but are available from the corresponding author on reasonable request.
References
Ruan, Z. et al. Effect of interparticle interactions on the yield stress of thickened flocculated copper mineral tailings slurry. Powder Technol. 392, 278–285. https://doi.org/10.1016/J.POWTEC.2021.07.008 (2021).
Shenghua, Y., Yongqiang, H., Shixing, Y. & Xin, C. Study on static and dynamic flocculation settlement characteristics of fine tailings slurry and influence of flocculant on strength of fine tailings backfill. Case Stud. Constr. Mater. https://doi.org/10.1016/J.CSCM.2022.E01525 (2022).
Jianlin, H. et al. Optimization and mechanism study of polymer grouting material ratio for silicon aluminum type iron tailings base metal mines. (06), 310–318 (2025). https://doi.org/10.19614/j.cnki.jsks.202506038
Qiu, X. et al. Research on the preparation and performance characteristics of activated copper tailings grouting material based on solid waste synergy. J. Clean. Prod. 514, 145739–145739. https://doi.org/10.1016/J.JCLEPRO.2025.145739 (2025).
Du, C., Li, D., Yi, F., Wang, M. & Niu, B. Experimental study on fiber-reinforced cement tailings sand-based grouting material Preparation and factors influencing the grouting effect. Constr. Build. Mater. 438, 137104–137104. https://doi.org/10.1016/J.CONBUILDMAT.2024.137104 (2024).
Wei, L., Shan, G., Youchun, X., Kekuo, Y. & Xiaowei, C. Research on the ratio of slurry for filling with thixotropic molybdenum tailings in coal Goaf. Min. Saf. Environ. Prot. 50(03), 6–11. https://doi.org/10.19835/j.issn.1008-4495.2023.03.002 (2023).
Zhenwei, P. et al. Research progress on emergency response technology for landslide geological disasters. J. Disaster Prev. Reduct. Eng. 41(06), 1382–1394. https://doi.org/10.13409/j.cnki.jdpme (2021).
Jiaxu, J. et al. Rheology control of self-consolidating cement-tailings grout for the feasible use in coal gangue-filled backfill. Constr. Build. Mater. https://doi.org/10.1016/J.CONBUILDMAT.2021.125836 (2022).
Chang, L. et al. Modeling the penetration distance of power-law cementing fluid transport in deep-water weakly consolidated formation. Fractals https://doi.org/10.1142/S0218348X21501073 (2021).
Jiapei, D., Annan, Z., Shui-Long, S. & Yuhuan, B. Fractal-based model for maximum penetration distance of Grout slurry flowing through soils with different dry densities. Comput. Geotech. https://doi.org/10.1016/J.COMPGEO.2021.104526 (2022).
Du, J. et al. Maximum penetration depth and penetration time predicting model of cementing fluid flow through wellbore into weakly consolidated formation. Fractals 27(8), 15. https://doi.org/10.1142/S0218348X19501329 (2019).
Weilin, L. & Xiaowen, Z. Study on the rheological properties of tailings sand and its impact on the discharge of tailings from dam failure. J. Undergr. Space Eng. 11(S1), 282–287. https://doi.org/10.20174/j.juse.2015 (2015).
Chao, G., Lijie, G., Lin, Z., Liming, H. & Wenyuan, X. Rheological properties of copper tailings and calculation of pipeline transportation resistance. J. Eng. Sci. 39(05), 663–668. https://doi.org/10.13374/j.issn2095-9389.2017.05.003 (2017).
Changjun, W., Zhigang, H., Dandan, X., Tianhong, J. & Zhihua, S. Study on rheological and mechanical properties of cement grouting material prepared from gold tailings sand. Metal Mines https://doi.org/10.19614/j.cnki.jsks.202307036 (2023).
Deng, C., Jida, L. & Sensen, C. The influence of iron tailings fineness on the rheological and mechanical properties of cement-based materials. Metal mines https://doi.org/10.19614/j.cnki.jsks.202501037 (2025).
Yifan, Z. et al. Experimental study on the diffusion law of filling slurry in goaf under the influence of rock particle size and slurry concentration. Coalf. Geol. Explor. 53(07), 80–89 (2025).
Xianxiang, Z., Qi, Z., Junpeng, M., Yongjun, W. & Fanzhen, M. The diffusion mechanism of infiltration grouting in water bearing sand layers under the effect of slurry water displacement. Geotech. Mech. 46(06), 1957–1966. https://doi.org/10.16285/j.rsm.2022.0958 (2025).
Lianzhen, Z. et al. Study on the diffusion mechanism of rapid setting slurry infiltration grouting considering the Spatiotemporal variation of slurry viscosity. Geotech. Mech. 38(02), 443–452. https://doi.org/10.16285/j.rsm.2017.02.018 (2017).
Zhang, Q., Zhang, L., Liu, R., Li, S. & Zhang, Q. Grouting mechanism of quick setting slurry in rock fissure with consideration of viscosity variation with space. Tunn. Undergr. Space Technol. Incorp. Trenchless Technol. Res. 70, 262–273. https://doi.org/10.1016/j.tust.2017.08.016 (2017).
Shucai, L., Weiwei, H., Qingsong, Z., Rentai, L. & Xianjie, W. Study on the time-varying characteristics of viscosity of rapid setting slurry for dynamic water injection in underground engineering. J. Rock. Mech. Eng. 32(01), 1–7 (2013).
Liu Rentai Research on the Mechanism and Application of Dynamic Water. Grouting and Diffusion Sealing of Cementitious Rapid Setting Slurry in Underground Engineering (Shandong University, 2012).
Lianzhen, Z. et al. Diffusion mechanism of grouting in fractured rock mass based on the characteristics of rapid solidification slurry flow solid phase change. J. Rock. Mech. Eng. 43(05), 1190–1203. https://doi.org/10.13722/j.cnki.jrme.2022.0736 (2024).
Saada, Z., Canou, J., Dormieux, L. & Dupla, J.-C. Evaluation of elementary filtration properties of a cement grout injected in a sand. Can. Geotech. J. 43(12), 1273–1289. https://doi.org/10.1139/t06-082 (2006).
Chupin, O., Saiyouri, N. & Hicher, P.-Y. The effects of filtration on the injection of cement-based Grouts in sand columns. Transp. Porous Media 72(2), 227–240. https://doi.org/10.1007/s11242-007-9146-z (2008).
Fei, Y., Changfei, G., Yanpeng, L. & Haidong, S. Time varying hemispherical diffusion model of grouting slurry behind the shield tunnel wall. J. Tongji Univ. (Nat. Sci. Ed.) 40(12), 1789–1794 (2012).
Jian, L., Zaisong, Z., Ye, H. & Xing, W. Experimental study on the diffusion law of grouting behind the shield wall of cement slurry considering viscosity variability and the pressure model of pipe segments. Geotech. Mech. 36(02), 361–368. https://doi.org/10.16285/j.rsm.2015.02.009 (2015).
Qingsong, Z. et al. Study on the mechanism of porous medium infiltration grouting considering the diffusion path of slurry. J. Geotech. Eng. 40(05), 918–924 (2018).
Hao, D., Hao, W. & Qiming, Z. Study on rheological characteristics and models of tailings slurry with different particle compositions and mass fractions of mineral materials. J. Three Gorges Univ. (Nat. Sci. Ed.) 46(03), 70–75. https://doi.org/10.13393/j.cnki.issn.1672-948X.2024.03.011 (2024).
Feng, C., Jie, Y., Chong, Z., Zhen, Y. & Xianfeng, L. Numerical analysis of multi physics field coupling for grouting infiltration and diffusion. J. Southwest. Jiaotong Univ. 59(06), 1469–1478 (2024).
Xuesong, W., Hua, C., Zhishu, Y., Chuanxin, R. & Bao, X. Research on the columnar infiltration and diffusion model of Bingham slurry in rich water sand layer and its experimental study. Coalfield Geol. Explor. 52(08), 124–133 (2024).
Hu, J., Yang, S. & Zheng, Q. Fractal study of bingham fluid flow in dual porous media with asymmetric characteristics. Fractals https://doi.org/10.1142/S0218348X2550118X (2025).
Cheng, H., Wu, S., Li, H. & Zhang, X. Influence of time and temperature on rheology and flow performance of cemented paste backfill. Constr. Build. Mater. 231, 1–10. https://doi.org/10.1016/j.conbuildmat.2019.117117 (2019).
Eklund, D. & Stille, H. Penetrability due to filtration tendency of cement-based Grouts. Tunn. Undergr. Space Technol. DOI https://doi.org/10.1016/j.tust.2007.06.011 (2008).
Funding
This work was supported by Science and Technology Innovation Program from Water Resources of Guangdong Province(2025-06)and The Key Program of the National Natural Science Foundation of China (52539007).
Author information
Authors and Affiliations
Contributions
Shuai Xing: Conceptualization, Data curation, Formal analysis, Methodology, Validation, Visualization, Writing – original draft. Jinsheng Jia: Conceptualization, Methodology, Writing – original draft. Cuiying Zheng: Conceptualization, Writing – review & editing. Haoxiang Wang: Resources, Writing – review & editing.
Corresponding author
Ethics declarations
Competing interests
The authors declare no competing interests.
Additional information
Publisher’s note
Springer Nature remains neutral with regard to jurisdictional claims in published maps and institutional affiliations.
Rights and permissions
Open Access This article is licensed under a Creative Commons Attribution-NonCommercial-NoDerivatives 4.0 International License, which permits any non-commercial use, sharing, distribution and reproduction in any medium or format, as long as you give appropriate credit to the original author(s) and the source, provide a link to the Creative Commons licence, and indicate if you modified the licensed material. You do not have permission under this licence to share adapted material derived from this article or parts of it. The images or other third party material in this article are included in the article’s Creative Commons licence, unless indicated otherwise in a credit line to the material. If material is not included in the article’s Creative Commons licence and your intended use is not permitted by statutory regulation or exceeds the permitted use, you will need to obtain permission directly from the copyright holder. To view a copy of this licence, visit http://creativecommons.org/licenses/by-nc-nd/4.0/.
About this article
Cite this article
Xing, S., Jia, J., Zheng, C. et al. Porous media grouting diffusion mechanism based on tailings slurry phase change characteristics. Sci Rep 16, 5571 (2026). https://doi.org/10.1038/s41598-026-36009-z
Received:
Accepted:
Published:
Version of record:
DOI: https://doi.org/10.1038/s41598-026-36009-z












