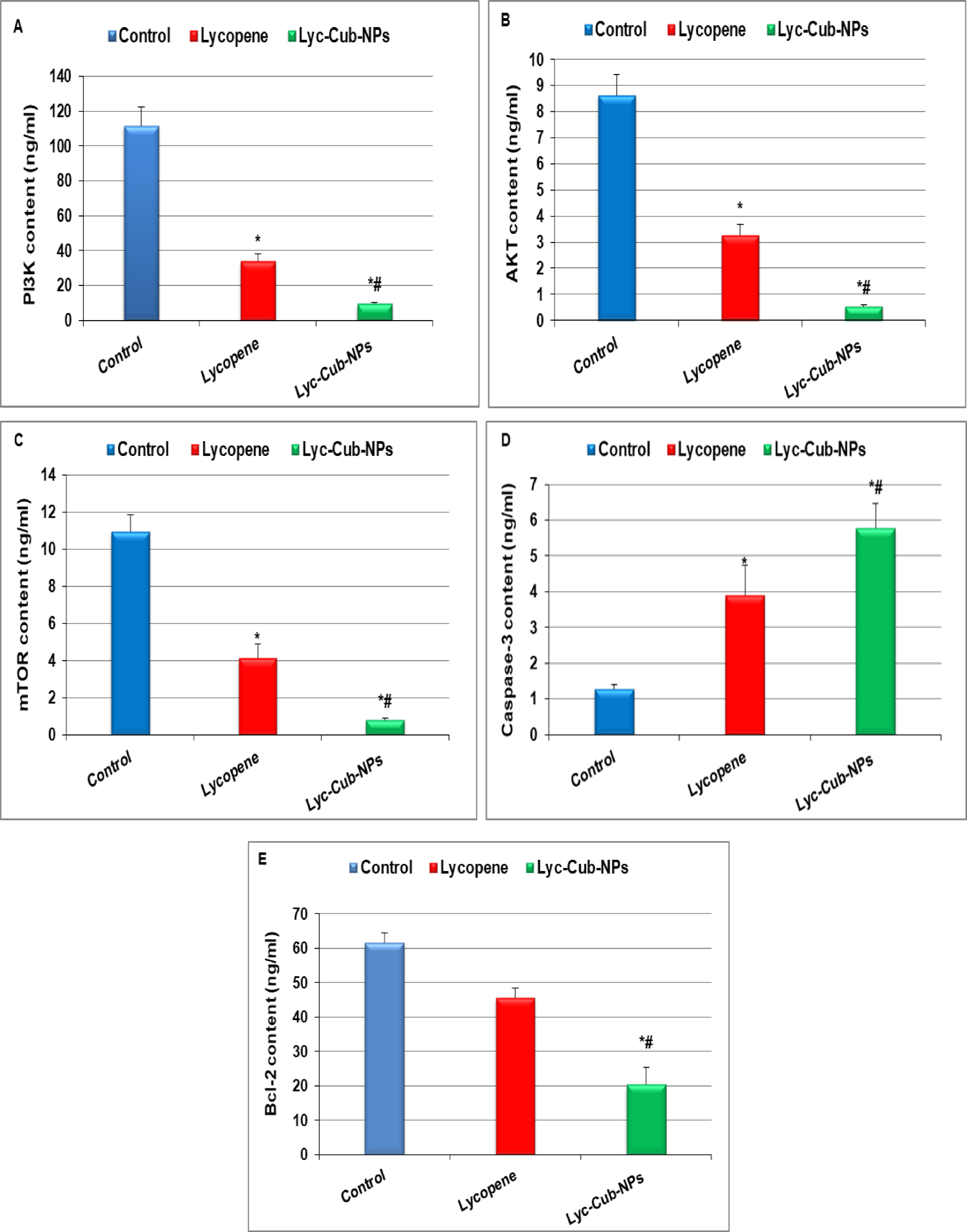
Fig. 10

Effect of Lycopene and Lyc-Cub-NPs on the protein content of A PI3K, B AKT, C mTOR, D Caspase-3, and E Bcl-2 in the HT-29 cell line using ELISA kits on the IC50 concentration detected by MTT viability test (IC50 = 95.25 and 54.04 µgml, respectively, incubation for 48 h). Data were expressed as mean ± SD (n = 3). *means significant versus the control group, and #means significant versus the Lycopene group. Control: cancer cell without any treatments. Each group differed significantly from the others at p ≤ 0.05.