Fig. 7
From: A repurposing Dapagliflozin via polymeric nanogels for colorectal cancer therapy

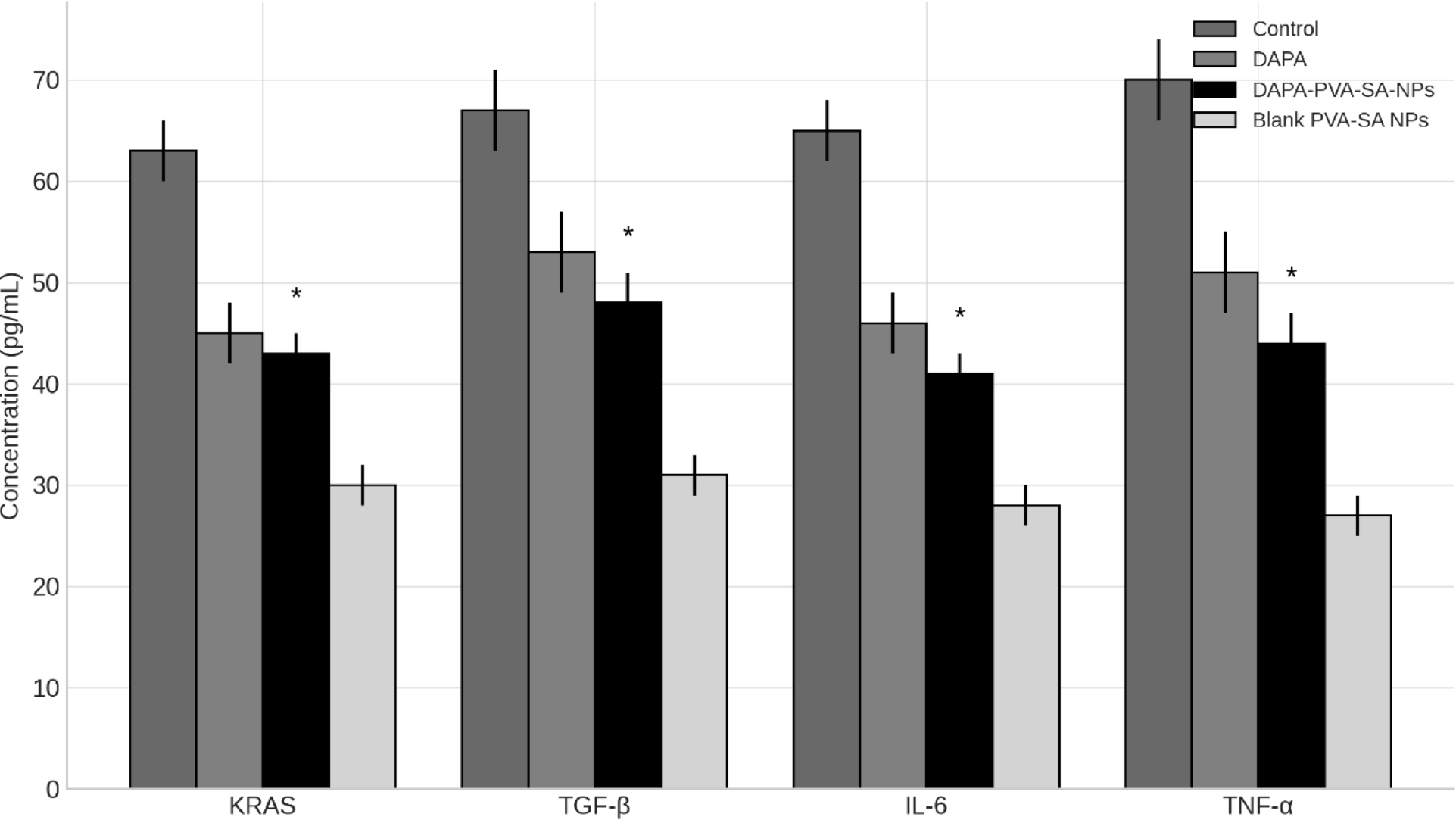
ELISA analysis of oncogenic and inflammatory biomarkers-KRAS, TGF-β, IL-6, and TNF-α-measured in HCT-116 colorectal cancer cells after treatment with DAPA-PVA-SA nanoparticles, blank PVA-SA nanoparticles, free Dapagliflozin (DAPA), and control (untreated cells). [Data are expressed as mean ± SD from n = 3 biological replicates. Statistical analysis was performed using one-way ANOVA with Bonferroni correction in GraphPad Prism v9.0. Exact p-values and 95% confidence intervals were reported. Normality and homogeneity of variance were verified before conducting parametric analysis].