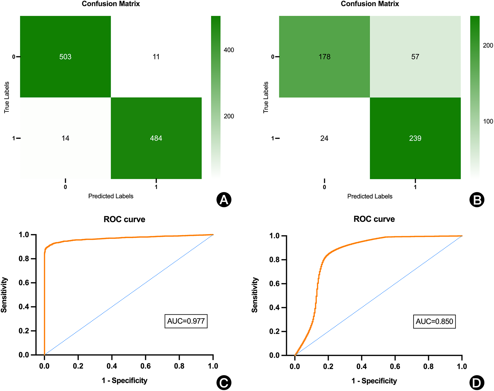
Fig. 4

Confusion matrix diagrams and ROC curve of DCNN1 and DCNN2 models. (A) Confusion matrix diagram of DCNN1 (Internal test) (B)༚Confusion matrix diagram of DCNN2 (Internal test) (C) ROC curve of DCNN1 (Internal test) AUC=0.977 (D)ROC curve of DCNN2 (Internal test) AUC༝0.850 ROC༚receiver operating characteristic curve.