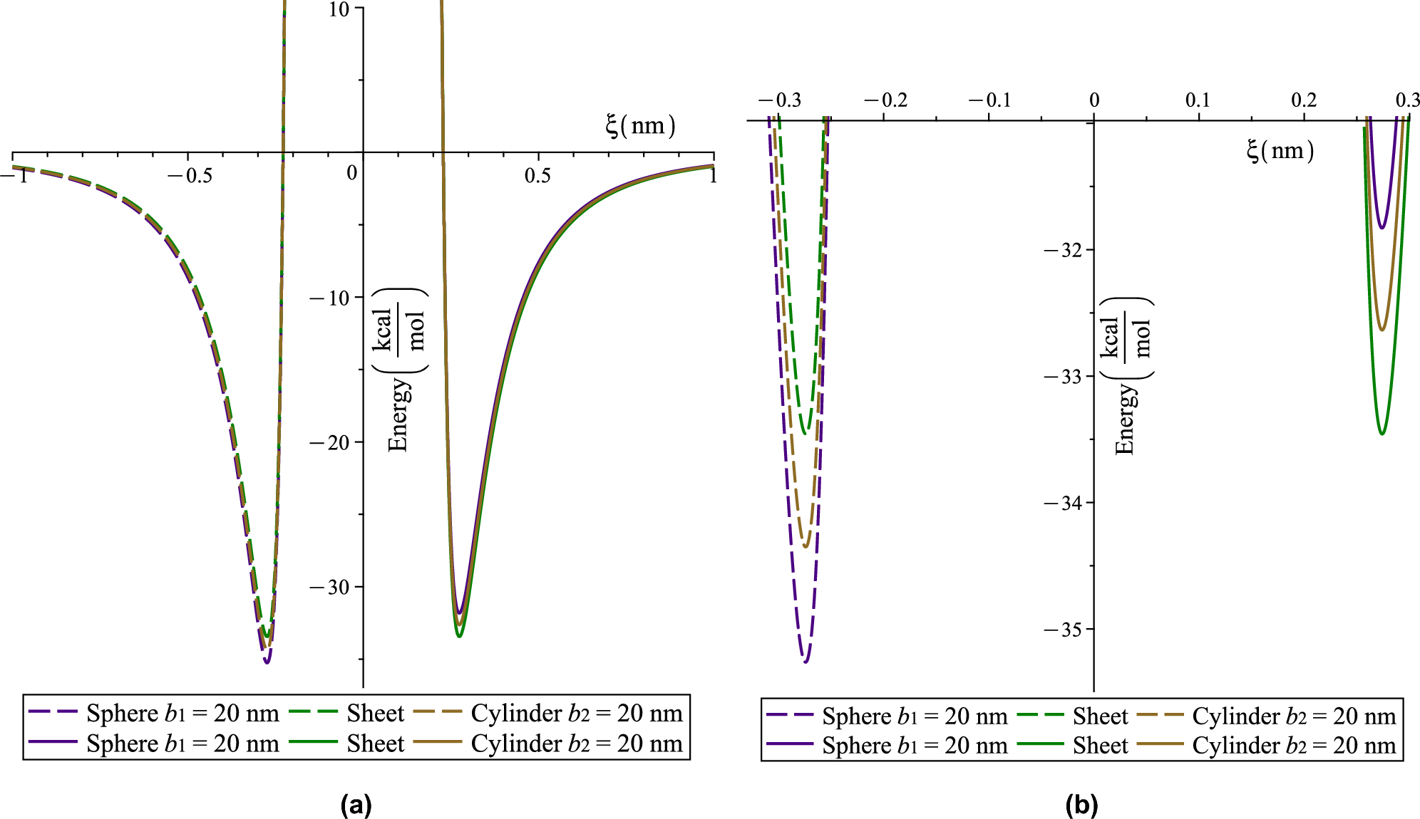
Fig. 6

Interaction energy profiles for DOX sphere of radius \(a=0.75\) nm and various \(\hbox {CeO}_2\) nanoparticle geometries. The energy is plotted as a function of inter-particle spacing \(\xi\). Dashed lines correspond to DOX being located inside \(\hbox {CeO}_2\) (\(\xi <0\)), while solid lines indicate its position on the surface (\(\xi >0\)). Both the spherical and cylindrical \(\hbox {CeO}_2\) are modeled with radius of 20 nm. (a) Full range of attractive and repulsive forces and (b) zoomed view of the attractive equilibrium.