Fig. 4
From: Effect and microscopic mechanism of nano-oxide modified cement solidified silty soft soil

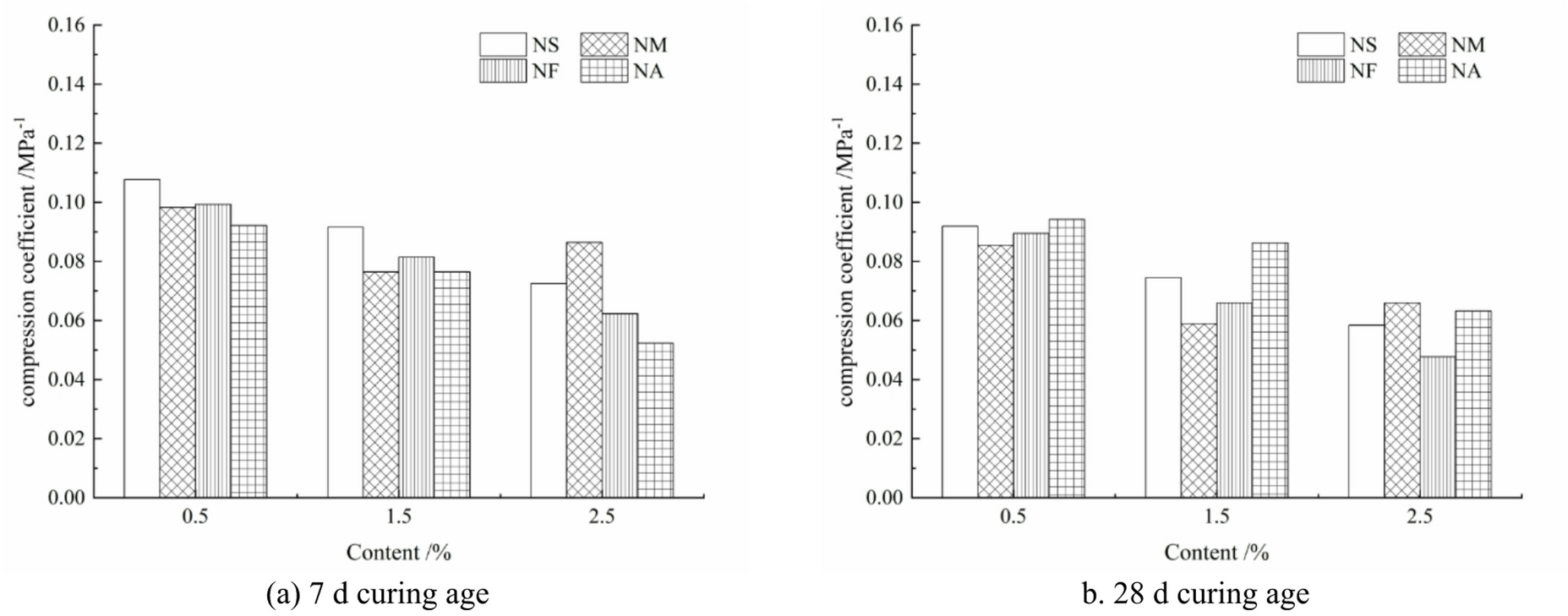
Compression coefficient of nano-oxide modified cement solidified silty soft soil.
From: Effect and microscopic mechanism of nano-oxide modified cement solidified silty soft soil

Compression coefficient of nano-oxide modified cement solidified silty soft soil.