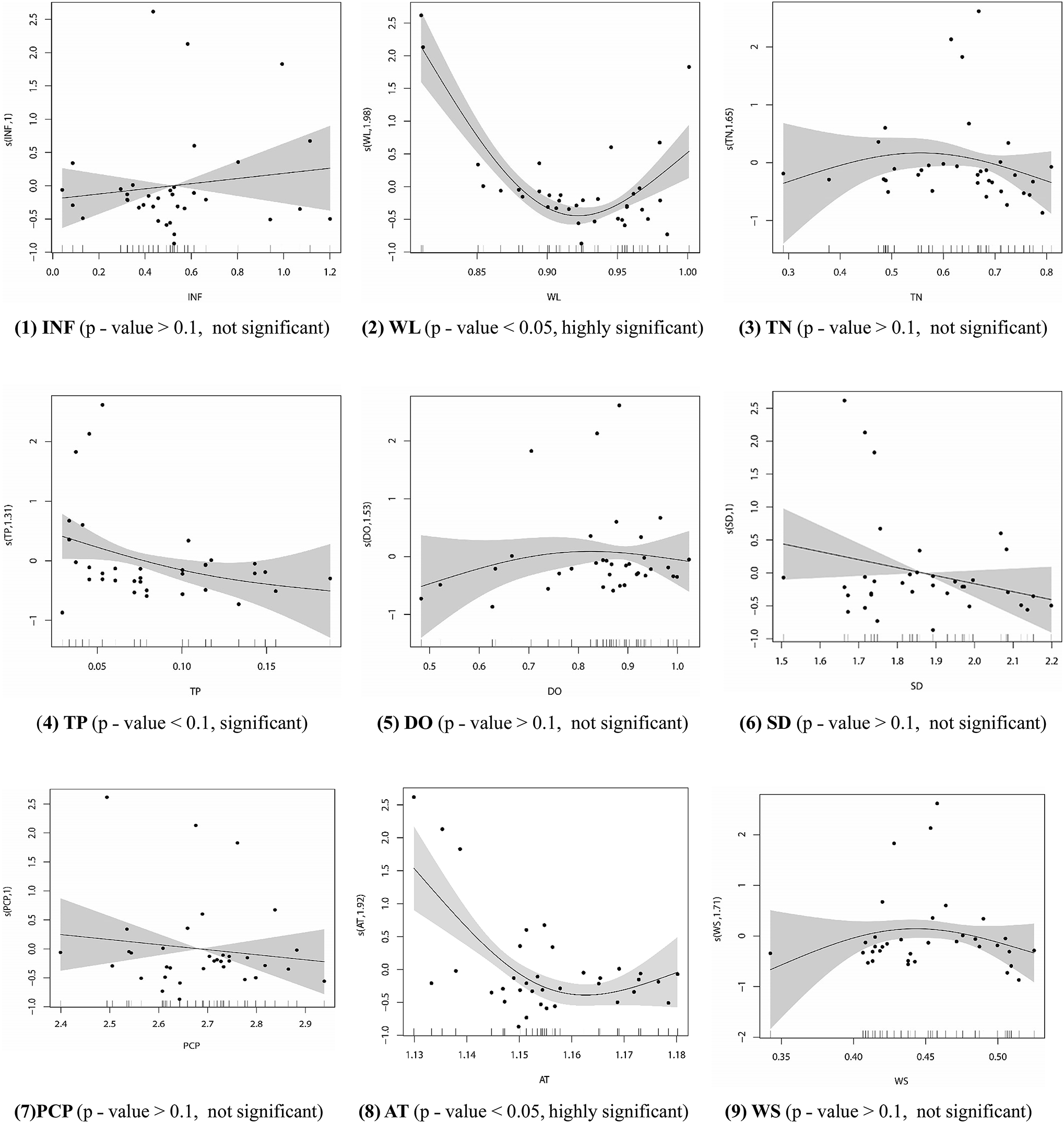
Fig. 7

The influence pattern of the single driving force to the comprehensive evaluation function (CEF). INF-inflow; WL-water level; TN- total nitrogen; TP-total phosphorus; DO-dissolved oxygen; SD-transparency; PCP-precipitation; WS-wind speed; AT- air temperature; The variables were (log(x+1)) transformed before GAM.