Fig. 2
From: Low-profile metasurface-backed wideband antenna array for mm-wave applications

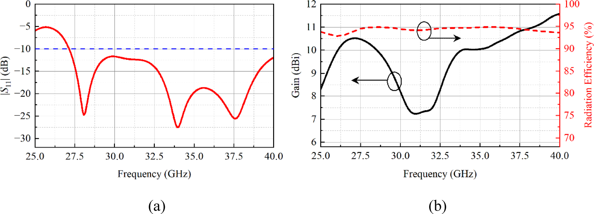
Simulated a |S11|, b radiation efficiency and gain of the planar antenna array.
From: Low-profile metasurface-backed wideband antenna array for mm-wave applications

Simulated a |S11|, b radiation efficiency and gain of the planar antenna array.