Abstract
Curcumin, a polyphenolic compound, has gained considerable attention in recent years as a therapeutic agent due to its ability to act at the cellular level and modulate multiple signaling pathways. However, its poor solubility, low bioavailability, and rapid metabolism limit its clinical applications for cancer treatment. The aim of the present study was to develop a novel hybrid nanocarrier system comprising curcumin-loaded silver–amine functionalized silica nanoparticles (CUR@Ag-AFS) for potential anticancer applications. Monodisperse silica nanoparticles were synthesized using a modified sol–gel method, functionalized with amine groups using 3-aminopropyltriethoxysilane (APTES), and decorated with silver ions to form a stable hybrid matrix. Curcumin extracted from Curcuma longa was effectively encapsulated within the nanocarrier, achieving a high encapsulation efficiency (77%) and drug loading capacity (25%). FTIR, XRD, SEM–EDS, TGA, DSC, and zeta potential analyses confirmed successful surface modification, uniform drug incorporation, and improved stability. In vitro release studies demonstrated sustained and pH-responsive release behaviour, with maximum cumulative release (91.6%) under acidic conditions (pH 5.5), indicating suitability for tumor-targeted delivery. Furthermore, the CUR@Ag-AFS system exhibited enhanced dose-dependent cytotoxicity against MCF-7 cancer cells compared to pure curcumin, due to the combined therapeutic actions of curcumin and silver species. These findings highlight the potential of the CUR@Ag-AFS hybrid system for sustained, pH-sensitive curcumin delivery, offering multifunctional therapeutic applications in cancer rehabilitation and disability management.
Introduction
Curcumin is the major bioactive compound of the rhizome of Curcuma longa (also referred to as turmeric), which has gained considerable attention since it has numerous therapeutic uses1. Despite the promising pharmacodynamics, the clinical uses of curcumin are hindered by extremely low water solubility, low systemic bioavailability, and rapid metabolism. Moreover, curcumin is very lipophilic, which means that it cannot be administered by intravenous injections without an appropriate carrier. To overcome them, curcumin has been loaded into advanced drug carrier technologies, including liposomes, nanoemulsions, solid lipid nanoparticles, nanosuspensions, and polymeric nanoparticles. These formulations provide more permeability, longer circulation, more bioavailability, and resistance to the curcumin metabolic process2. Nevertheless, these delivery systems of drugs remain limited by such factors as low drug loading, physical instability, cytotoxicity, and complicated preparation procedures3,4. Consequently, it is still urgent to find a new formulation of curcumin that would address these shortcomings with greater therapeutic efficacy.
Silver nanoparticles (AgNPs) have also been of interest because of their inherent antimicrobial, anticancer, antidiabetic, and anti-inflammatory characteristics. Nevertheless, issues with their quick ion release, cytotoxicity, and limited colloidal stability prevent direct biomedical applications. AgNPs may be reduced to address these problems by incorporating them into controlled nanocarriers5.
Silica nanoparticles (SiNPs) have been seen in this respect to be an attractive drug carrier with better therapeutic uses due to their unique characteristics, such as the ability to load both hydrophilic and hydrophobic drugs well due to their high pore volume, adjustable pore size, and possible surface area. In addition, the versatile surface chemistry of SiNPs enables various functionalization of SiNPs, such as amine, thiol, or polyethylene glycol (PEG) modifications that enhance targeting, colloidal stability, and drug release characteristics6. Interestingly, amino-functionalized silica (AFS) scaffolds can provide an efficient method to improve silver loading in scaffolds. The amino groups act as chelating sites that strongly bind silver ions, enhancing their incorporation and uniform distribution. Moreover, AFS provides more stable and active silver ion stabilization, thus making them better candidates for biomedical nanocarrier systems. Thus, by incorporating AgNPs into AFS and later loading curcumin, it is possible to create a hybrid system that will optimize the strengths of each component and minimize their limitations7. Therefore, it is crucial to design an efficient drug delivery system that addresses the limitations of conventional chemotherapies and supports rehabilitation by improving curcumin’s pharmacokinetics.
Curcumin’s anticancer properties, in particular, have become a focus of significant research interest. Cancer, an abnormal as well as uncontrolled rise of cell proliferation, remains to be one of the major causes of mortality and long-term disability worldwide. Insufficient drug content in the tumor site, dose-related side effects, nausea, vomiting, diarrhea, and hair loss are just a few of the limitations of the traditional chemotherapy approach. The non-targeted drug delivery in the body affects both normal and cancerous cells8.
In literature, it has been reported that the conjugation of silver nanoparticles (AgNPs) with bioactive molecules such as curcumin can synergistically enhance therapeutic efficacy, particularly through mechanisms involving oxidative stress and mitochondrial disruption. Song et al.9 developed curcumin-modified AgNPs that significantly improved their antibacterial activity against B. subtilis and E. coli, attributed to enhanced reactive oxygen species (ROS) generation as well as membrane damage. karan et al.10 developed curcumin-loaded Ag nanoparticles and observed enhanced cytotoxic effects against cancer cells due to increased ROS generation. In the same ways, Bhubhanil et al. used guar gum and curcumin-stabilized silver nanoparticles as a hydrogel composite with wound healing ability, as evidenced by increased fibroblast proliferation, collagen formation, and neovascularization, and low cytotoxicity11. These results indicate that the new hybrid formulation of silver nanoparticles and curcumin may provide improved anticancer effects to minimize disability with regard to treatment. Hence, there is still a huge gap that needs to be filled by a well-rounded, stable nanocarrier that would enhance the loading capacity of curcumin, stabilize silver ions, and provide pH-responsive drug release. This type of system would overcome significant weaknesses of current CUR formulations, such as instability, low bioavailability, and uncontrolled delivery, and potentially increase anticancer effects due to the synergistic effect of curcumin and silver.
The present study is aimed to develope a novel hybrid formulation of curcumin-complexed silver-amine functionalized silica nanoparticles (CUR@Ag-AFS). SiNPs were prepared using TEOS and functionalized with amine groups via APTES to enhance the loading of drugs, interactions, and release. Silver ions were then incorporated to form a silver-amine hybrid matrix, providing additional therapeutic functionality. Curcumin was a successfully loaded onto the functionalized SiNPs. Addition of silver is expected to provide synergistic anticancer effects. The AFS based systems offers a stable and tunable delivery systems that improves the bioavailability of curcumin, enables sustained and targeted release, prevents premature degradation, and enhances therapeutic efficacy through the combined action of curcumin and silver.
Physicochemical characterization using XRD, FTIR, TGA, SEM-EDS, DSC, zeta potential, and UV-Vis spectroscopy confirmed the structural integrity of the hybrid system and the effective incorporation of curcumin, indicating its potential for enhanced therapeutic applications.
Materials and methods
Chemicals
Tetraethylorthosilicate (TEOS), cetyltrimethylammonium bromide (CTAB) ≥ 98.0%, 3-aminopropyltriethoxysilane (APTES), Sodium hydroxide (NaOH), hydrochloric acid (HCl, 37% extra pure), dichloromethane (DCM), ammonia (NH3), acetone (C₃H₆O), ninhydrin reagent powder, (C₂H₅OH), methanol (CH₃OH), deionized water (H₂O), diethyl ether (C₄H₁₀O), and chloroform (CHCl₃)were purchased from Sigma Aldrich. Whole turmeric root (100% pure) was dried for subsequent extraction. All chemicals were of analytical grade and used without further purification.
Preparation of curcumin loaded silver-amine functionalized silica nanocarriers
Synthesis of silica nanoparticles (SiNPs)
SiNPs were synthesized using a modified template -assisted sol-gel approach. Briefly, CTAB (0.5 g) was completely dissolved in 200 mL of distilled water, and the pH was adjusted to approximately 11 using 2 M NaOH. The mixture was stirred for 1 h at 80 °C. After dropwise addition of 2.5 mL TEOS, the mixture was stirred continuously for an additional 2 h at the same temperature. To remove the CTAB template, the resulting product was refluxed in a hydrochloric acid-ethanol solution (1:10 v/v) for 6 h. The purified SiNPs were collected by centrifugation at 12,000 rpm for 20 min. Finally, the product was calcined for 6 h at 550 °C and ground into fine powder using an agate mortar12.
Functionalization of SiNPssinps
The surface of SiNPs was functionalized with amine groups to provide active sites for further chemical modification and improve their interaction with biomolecules or drugs. For this purpose, 1.0 g of SiNPs were suspended in 100 mL of absolute ethanol, with APTES (2 mL) subsequently added under reflux at 80 °C for 24 h. Then, AFS were washed repeatedly with ethanol to remove the unreacted APTES and dried overnight at 60 °C13.
Synthesis of silver-amine functionalized silica nanoparticles (Ag-AFS)
Silver ions were incorporated in the amine-functionalized silica nanoparticles via a direct reduction approach. Briefly, 0.3 g of AFS was dispersed in 30 mL of a 1 mM aqueous solution of silver nitrate in the dark, at room temperature, with continuous agitation for 96 h. The resulting silver-amine functionalized silica nanoparticles (Ag-AFS) were filtered, thoroughly rinsed with purified water to remove excess silver ions, and then vacuum-dried for 24 h12,14.
Extraction of curcumin from whole turmeric root
Curcumin was extracted from dried turmeric roots to ensure purity. Fresh turmeric roots (500 g) were boiled for 1 h, dried at 50 °C, and ground into a fine powder. 30 g of turmeric powder was subjected to Soxhlet extraction using acetone as the solvent at 40–50 °C until the turmeric powder was completely decolorized. The dark reddish-brown extract was distilled to remove acetone, and the resulting slurry was washed with petroleum ether so as to remove impurities. The final product, a mixture of curcuminoids, was filtered and dried15.
Loading of curcumin on Ag-AFS
Curcumin was loaded onto the Ag-AFS nanoparticles by the solvent evaporation technique. An ethanolic solution of curcumin (4 mg/mL) was prepared, and 0.1 g of Ag-AFS was dispersed in 25 mL of the curcumin solution. The mixture was stirred for 24 h at room temperature in the dark to facilitate drug adsorption. CUR@Ag-AFS was then centrifuged at 12,000 rpm for 20 min to eliminate any unbound curcumin and dried for further use16.
Drug loading and encapsulation efficiency
The encapsulation of curcumin within the nanoparticles was evaluated based on the interaction with the nanoparticle surface, the main site for drug entrapment. The concentration of curcumin in the supernatant was measured using a UV-Vis spectrophotometer at a wavelength of λ = 425 nm. The entrapment efficiency (EE%) and drug loading efficiency (DLE%) of the CUR@Ag-AFS were calculated using the following Eqs. 1 and 2.
Characterization techniques
The synthesized formulation (CUR@Ag-AFS) was comprehensively characterized at various stages to evaluate its structural, physicochemical, and thermal properties. A combination of analytical techniques including UV–Visible Spectroscopy, Fourier Transform Infrared Spectroscopy (FTIR), X-ray Diffraction (XRD), Thermogravimetric Analysis (TGA), Differential Scanning Calorimetry (DSC), Scanning Electron Microscopy (SEM) with Energy-Dispersive X-ray Spectroscopy (EDS) and zeta potential analysis —was employed to confirm successful functionalization, curcumin encapsulation, and the morphological and chemical stability of the nanocarriers. FTIR analysis was carried out using a PerkinElmer Frontier spectrometer, scanned with 20 scans per sample at a resolution of 4 cm⁻¹ across the wavenumber from 400 to 4000 cm⁻¹. XRD patterns were obtained using Bruker D2 Phaser diffractometer with Cu-Kα radiation, scanning at 2°/min over a 2θ range of 0°-80° to ascertain the degree of crystallinity of drug before and after encapsulation. Thermal stability and encapsulated drug content were assessed using a PerkinElmer Pyris 1 TGA system, while thermal transitions were analyzed using a PerkinElmer Pyris 1 DSC instrument. Samples (5–10 mg) were heated in aluminum crucibles from 0 °C to 1000 °C a rate of 10 °C/min under a nitrogen flow of 50 mL/min. The surface morphology was examined using SEM on a JEOL JSM-5910 system operated at 15 kV. Samples were dispersed in ethanol, drop coated on aluminium stubs, dried in air and sputter coated with gold. Elemental composition and mapping were carried out by EDS combined with SEM, confirming the presence of Si, O, N, C and Ag in the functionalized hybrid system. Zeta potential measurements were conducted at 25 °C using a Malvern Zetasizer (version 7.11) to assess the surface charge and colloidal stability detection. Samples were sonicated and diluted with deionized ultra-pure water containing 0.01% Tween-80 prior to analysis.
In vitro drug release studies
The in vitro drug release characteristics of CUR@Ag-AFS were evaluated to assess sustained release performance. A vertical Franz diffusion cell was employed using PBS at pH 5.5, 6.8, and 7.4 to simulate the acidic tumor microenvironment, slightly acidic sites, and physiological conditions, respectively. Cellulose acetate membranes, pre-treated, were mounted between donor and receptor chambers, which were filled with 250 mL of release medium at 37 °C. Approximately 150 mg of CUR@Ag-AFS was added in the donor chamber. At defined time intervals from 0 to 24 h, 5 mL samples were withdrawn, replaced with fresh buffer, and analysed at λ_max 425 nm using a UV–Visible spectrophotometer. Experiments were performed in triplicate.
Cell culture
The MCF-7 cancer cell line was used to evaluate the in vitro cytotoxic and anticancer activities of the developed CUR@Ag-AFS hybrid system, free curcumin (CUR), Ag-AFS, AFS, and bare SiNPs. HEK-293, a human embryonic kidney cell line, was also used as a normal cell control to compare biocompatibility. Both cell lines were maintained in Dulbecco’s Modified Eagle Medium (DMEM) enriched with 10% (v/v) fetal bovine serum (FBS) and 1% (v/v) L-glutamine, to evaluate cytotoxicity and potential effects related to cancer rehabilitation. Cultures were incubated at 37 °C in a humidified atmosphere with 5% CO₂. For subculturing, cells were detached was performed using trypsin-EDTA solution, resuspended in fresh medium, and transferred into new culture flasks for subsequent cytotoxicity assays.
Cytotoxicity studies: MTT assay
After incubation, 3 µL of each sample was transferred to each well, and plates were further incubated for forty-eight hours. Each well was then filled with 10 µL of MTT solution (3-(4,5-dimethylthiazol-2-yl)-2,5-diphenyltetrazolium bromide), followed by incubation of the wells for an additional 4 h. Subsequently, 150 µL of DMSO was added to dissolve the formazan crystals, and plates were incubated for 30 min before measuring the absorbance at 570 nm using an ELISA microplate detector for potential rehabilitation applications. MS Excel 2016 and GraphPad Prism were used to calculate cell viability and inhibition rates and conduct statistical analysis.
where As represents the treated sample’s absorbance while, AC is the untreated control’s absorbance17.
Results and discussion
Fourier transform infrared spectroscopy (FTIR)
FTIR characterization of the formulated SiNPs, Ag-AFS, CUR, and CUR@Ag-AFS was performed to confirm the successful surface functionalization and drug encapsulation. The recorded comparative spectra are shown in Fig. 1A. FTIR spectra of SiNPs and AFS exhibited nearly identical spectral features, with a characteristic broad absorption peak centered around 3369 cm⁻¹, assigned to stretching vibrations of surface hydroxyl groups (Si–OH) in SiNPs and overlapping –OH/–NH₂ groups from the aminopropyl moiety in AFS. The observed band broadening and slight increase in intensity in AFS suggest successful amine functionalization of the silica surface. A distinct peak at ~ 1560 cm⁻¹ arises from N–H bending vibrations, and a peak observed at ~ 1490 cm⁻¹ corresponds to C–N stretching, confirming the existence of primary amine functionalities. A sharp peak at ~ 1043 cm⁻¹ corresponds to the Si–O–Si asymmetric stretching vibrations. The formation of the silica framework was confirmed by the attribution of additional bands at about 958 cm⁻¹ and 799 cm⁻¹ to Si–OH bending and Si–O symmetric stretching, respectively18.
FTIR analysis of Ag-AFS confirmed the existence of silica-related peaks. A broadening and slight shift of the O–H/N–H absorption band around 3415 cm⁻¹ was observed, which was attributed to enhanced hydrogen bonding between surface amine groups and Ag⁺ ions. Additionally, the Si–O–Si asymmetric stretching vibration shifted slightly from 1043 cm⁻¹ to 1050 cm⁻¹, indicating possible interaction with silver ions. In the meantime, the N–H bending vibration sharp peak of about 1560 cm− 1 confirmed that amine groups remained stable after silver incorporation19.
The FTIR spectrum of pure curcumin showed the existence of the characteristic functional groups of curcumin. The appearance of a broad absorption peak at 3508 cm⁻¹ demonstrated the presence of a phenolic -OH group stretching vibration. It was suggested that the distinct peak at 1624 cm⁻¹ was associated with the oscillation of the conjugated C = O structure in the β-diketone structure of curcumin. Distinct bands appearing at 1510 cm⁻¹ and 1430 cm⁻¹ were linked to the stretching vibrations of C = C bonds in aromatic rings. Additionally, phenolic and methoxy groups, having their stretching vibrations (C–O), were observed at 1270 cm⁻¹ and 1025 cm⁻¹, respectively. Weak bands at 855 cm⁻¹ and 813 cm⁻¹ indicated aromatic C–H out-of-plane bending. The presence of these characteristic peaks confirmed the molecular integrity and functional group composition of the isolated curcumin20.
The CUR@Ag-AFS spectrum revealed that all major peaks related to curcumin and the Ag-AFS framework were maintained with minor variations, suggesting successful encapsulation without chemical degradation. In comparison to CUR and Ag-AFS, the broad band at ~ 3407 cm⁻¹ demonstrated vibrations due to O–H and N–H stretching and is slightly displaced, indicating hydrogen bonding between curcumin and its carrier matrix. Curcumin’s distinct C = O peak shifted from 1624 cm⁻¹ to 1618 cm⁻¹, confirming interaction with amino or Ag groups. The structural integrity of the silica framework was confirmed by typical bands at roughly 1049, 946, and 797 cm⁻¹, whereas the aromatic stretching vibrations of C = C emerged at 1588, 1516, and 1474 cm⁻¹. The CUR@Ag-AFS spectrum demonstrated only slight peak shifts and no new peaks, indicating that physical interactions like hydrogen bonding or coordination rather than covalent bonds formed during drug loading21. These results confirm the hybrid nanocarrier system’s successful successive functionalisation and efficient curcumin encapsulation for uses intended to lessen treatment-related problems.
X-ray diffraction (XRD)
XRD analysis was employed to ascertain the degree of crystallinity of the encapsulated drug in the developed formulation. A comparison of XRD patterns of SiNPs, AFS, Ag-AFS, CUR, and CUR@Ag-AFS is illustrated in Fig. 1B.
The diffraction pattern of SiNPs showed a broad peak centered at 22.16° corresponding to the amorphous nature of the silica nanoparticles. After amine-functionalization, AFS exhibited a more pronounced amorphous peak at 23.12°, reflecting slight structural ordering within the silica matrix attributed to surface amine functionalization22. After addition of silver, the amorphous halo of silica matrix exhibited slight changes in intensity between 22.36° and 26.14° attributed to interaction of silver ions with the amine functionalized silica surface leading to structural change in the silica network. Interestingly, the XRD pattern of Ag-AFS failed to display the diffraction peaks of crystalline metallic silver, which generally appear at the positions of 38°, 44°, 64°, and 77° 2θ corresponding to the (111), (200), (220), and (311) planes of fcc silver. This deficiency indicated that there was a high dispersion of the silver species remaining in ionic form strongly complexed with amine groups, or existing as ultra-small clusters below the detection limit of XRD12.
The XRD pattern of pure curcumin (CUR) exhibited various intense peaks at 8.8°, 13.5°, 15.1°, 17.28°, and 24.5°, reflecting a highly crystalline structure which is consistent with literature22. Meanwhile, the CUR@Ag-AFS nanohybrid exhibited clear diffraction peaks at 22.3°, 38.12°, 44.32°, 64.48° and 77.52° after loading of curcumin, confirming the formation of crystalline AgNPs in the hybrid matrix. The crystallite sizes of metallic silver in CUR@Ag-AFS were estimated with the use of the (111) XRD peak at 38.12° according to the Scherrer equation:
where θ is the Bragg angle, β is the FWHM in radians, K = 0.9, and λ = 0.154 nm (Cu Kα). The estimated crystallite size was about 11 nm. Each mesoporous silica nanoparticle contains several smaller silver nanocrystals contained within the silica matrix, as evidenced by the fact that this size is less than the particle diameter observed in SEM (~ 250–400 nm)23.
It is notable that these metallic Ag⁰ peaks were not found in the Ag-AFS sample before the curcumin loading. Silver loading was performed under mild, dark, room-temperature conditions and in the absence of any reducing agents; therefore, Ag⁺ remained coordinated to the surface –NH₂ groups without significant reduction. The appearance of metallic Ag reflections only after curcumin incorporation is consistent with the reducing capability of curcumin’s phenolic groups, indicating that partial Ag⁺ → Ag⁰ transformation occurred during the drug-loading step rather than during the initial Ag⁺ incorporation process24. Moreover, a significant decrease in intensity of curcumin’s characteristic peaks was detected in the CUR@Ag-AFS diffractogram, confirming the successful entrapment of curcumin within the nanoparticle system. The reduced crystallinity of curcumin demonstrates its conversion to an amorphous or less-ordered state, supporting the structural integrity for a rehabilitation-oriented drug delivery system.
(A) FTIR spectra of SiNP, AFS, Ag-AFS, CUR and CUR@Ag-AFS nanoparticles; (B) XRD patterns confirming the structural characteristics of the synthesized hybrid nanoparticles.
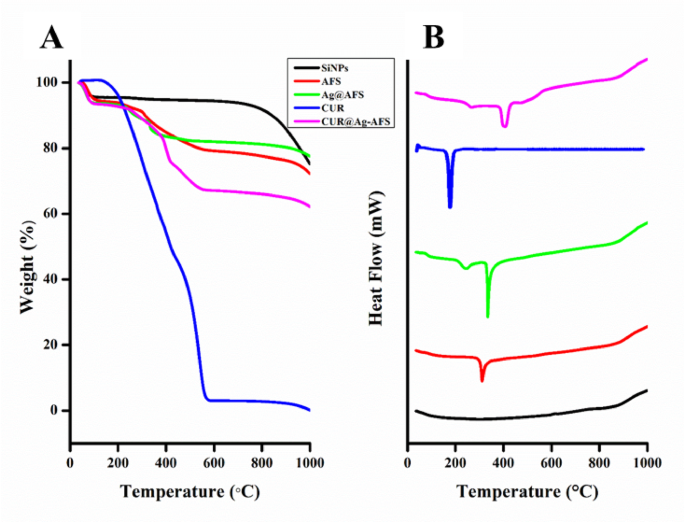
Thermogravimetric analysis (TGA)
The thermal behavior of the synthesized nanomaterials, drug and formulation was evaluated using thermogravimetric analysis (TGA) under nitrogen atmosphere, as demonstrated in Fig. 2A. The thermogravimetric patterns revealed multistep weight loss corresponding to moisture loss, decomposition of surface-bound organic groups, and degradation of loaded drug molecules.
The TGA curves of SiNPs and AFS exhibited initial weight loss of approximately 5% below 120 °C, attributed to evaporation of ethanol and physically adsorbed moisture. SiNPs showed no significant thermal degradation up to 700 °C, suggesting robust thermal stability and absence of organic content25. In contrast, AFS exhibited increased weight loss between 200 and 600 °C, attributed to decomposition of grafted aminopropyl groups. Residual masses of at 995 °C were approximately 75% for SiNPs and 69% for AFS, indicating the existence of organic functionalization in AFS.
The Ag AFS sample demonstrated reduced total weight loss (approximately 22%) compared to AFS, indicating higher thermal stability upon silver incorporation. This improvement can be ascribed to the stronger interactions between Ag⁺ ions and amine groups, which restrict thermal motion, thereby slowing down degradation26.
In case of pure curcumin, there was considerable weight loss (~ 97%), which initiates at approximately 200 °C, and continued up to 600 °C, corresponding to thermal breakdown of curcumin molecules.
These decomposition processes are consistent with the previously reported values of pure curcumin which exhibit thermal events between 205 and 630 °C, with almost complete weight loss and minimal residue27. This rapid loss suggested curcumin’s low thermal stability in its native crystalline form.
A multistep weight loss pattern was observed for CUR@Ag-AFS hybrid system. A significant weight loss was occured between 200 and 400 °C, due to the thermal degradation of encapsulated curcumin and aminopropyl groups bonded into silica network.
The last degradation stage above 400 °C corresponds to breakdown of the remaining silica–organic hybrid system. CUR@Ag-AFS exhibited a total weight loss of approximately 65%, which was substantially higher than Ag@AFS suggesting successful encapsulation of curcumin and other organic content in the nanocarrier system.
Furthermore, the delayed onset of curcumin degradation and greater weight loss profile in the CUR@Ag-AFS formulation indicated that the functionalized silica matrix stabilizes curcumin, preventing premature thermal degradation potentially improving overall stability and help reduce treatment-related disability28.
Differential scanning calorimetry (DSC)
DSC was conducted to evaluate thermal transitions and structural properties of the developed formulations. Figure 2B displayed the obtained thermograms, where all thermal events are represented as downward peaks, corresponding to the endothermic convention of the PerkinElmer Pyris 1 DSC system.
No thermal transition was found in the DSC thermogram of bare SiNPs, which confirmed its thermal stability and the absence of organic moieties. Conversely, AFS sample exhibited a wide endothermic peak between 310 and 370 °C, attributed to the thermal degradation of aminopropyl functional groups grafted onto the silica surface through APTES functionalization. This thermal profile was consistent with the weight loss observed by TGA between 200 and 600 °C temperature domain indicating successful organic functionalization of the silica surface. Moreover, the Ag-AFS sample demonstrated a slightly shifted and sharper endothermic peak between 320 and 380 °C, corresponding to the thermal degradation of aminopropyl groups. This slight shift to higher temperature is consistent with the marginally decreased weight loss observed in TGA, indicating the stabilizing effect of Ag+-amine interactions in the hybrid network25.
DSC thermogram of pure curcumin demonstrated a very sharp endothermic peak at approximately 178.3 °C, corresponding to its melting transition, indicating the crystalline nature. This value is also in agreement with the previous reports, which indicated a melting point of about 180 °C for commercial curcumin29,30.
In contrast, the DSC thermogram of CUR@Ag-AFS hybrid system lacked a distinct melting peak characteristic of crystalline curcumin. Instead, a broad endothermic transition was observed between ~ 350–450 °C, indicating that curcumin was transformed from crystalline form to an amorphous form within the functionalized silica matrix.
Such confinement effects are well reported in literature for mesoporous silica carriers, where encapsulation disrupts long-range order and enhances thermal stability of the compound being loaded. This interpretation is further supported by the observed shift of the main degradation event to higher temperature range, suggesting that the silica network provides thermal protection and enhances the thermal stability of the encapsulated drug28. These findings are further supported by XRD analysis, which exhibited the disappearance of sharp crystalline peaks of curcumin in the CUR@Ag-AFS formulation, confirming its transformation into an amorphous state.
(A) TGA curves and (B) DSC thermograms of SiNPs, AFS, Ag-AFS, free CUR and CUR@Ag-AFS hybrid nanoparticles.
Scanning electron microscopy (SEM)
SEM was used to analyse the morphological and structural characteristics of Ag-amine functionalized silica (Ag-AFS), pure curcumin, and Cur loaded AgAFS (Cur@Ag-AFS) to study the effects of functionalization and drug loading. The SEM images in Fig. 3a displayed that the Ag-AFS nanoparticles had a homogeneous and dense spherical shape with a rather smooth surface and an average particle size of approximately 200–300 nm. The absence of structural damage and changes confirmed the successful amine functionalization and embedding of silver while maintaining the overall mesoporous silica framework, consistent with previous reports31.
Pure curcumin particles exhibited a rough and irregular surface morphology with a wide size distribution between 0.5 and 2.5 μm as observed in the SEM image (Fig. 3b).
Cur@Ag-AFS particles in Fig. 3c exhibited increased surface roughness and porosity compared to Ag-AFS, along with a slight increase in particle size to 250–400 nm, consistent with effective curcumin loading within the mesoporous silica matrix32.
The particle size distribution histograms produced from the SEM images (Fig. 3d-f) support these observations by confirming a restricted particle size distribution for Ag-AFS and CUR@Ag-AFS and a larger, heterogeneous distribution for pure curcumin. These morphological and compositional findings align well with the XRD results, the nanosized metallic silver crystallites (~ 11 nm) embedded within the larger silica nanoparticles, as observed in SEM. The disappearance of sharp curcumin crystalline peaks indicated a loss of long-range order, confirming its transformation into an amorphous or molecularly dispersed state within the silica matrix. Such structural features may benefit rehabilitation nanomedicine by enabling more stable drug delivery.
SEM microphotographs of (a) Ag-AFS (b) Pure Curcumin and (c) Cur@Ag-AFS; Corresponding particle size distribution histograms of (d) Ag-AFS (e) Pure Curcumin and (f) Cur@Ag-AFS; EDS spectrum of (g) Ag-AFS and (h) Cur@Ag-AFS confirming elemental composition.
Energy-dispersive spectroscopy (EDS) analysis
EDS spectrum of Ag-AFS (Fig. 3g) and Cur@Ag-AFS (Fig. 3h) confirmed the detection of carbon (C), nitrogen (N), oxygen (O), silicon (Si), and silver (Ag), as reported in Table 1. The presence of carbon (C) in both Ag-AFS (21.94 wt%) and Cur@Ag-AFS (22.60 wt%) was attributed to surface functional groups and organic moieties attached during APTES modification and curcumin loading. Nitrogen was detected at a low percentage in Ag-AFS (0.45 wt%) but showed a notable increase in Cur@Ag-AFS (4.07 wt%), indicating the presence of amine functionalities and confirming successful surface modification. The higher nitrogen content in Cur@Ag-AFS further supports the interaction of curcumin with the amine-modified silica network. Silver was clearly identified in both samples, with Ag-AFS containing 2.04 wt% and Cur@Ag-AFS showing 0.48 wt%. The decrease in silver weight% after curcumin loading suggests partial surface coverage by the curcumin molecules26,33.
These findings are consistent with SEM observations and thermal analysis (DSC and TGA), supporting the effective encapsulation and stabilization of curcumin within the hybrid nanostructure. Collectively, the SEM and EDS data confirm the successful synthesis of multifunctional Cur@Ag-AFS nanoparticles with potential for drug delivery applications.
Zeta potential
Zeta potential analysis is crucial for evaluating the physicochemical stability of developed formulation and to study interactions between the constituents of formulation namely curcumin and Ag-AFS nanoparticles. The zeta potential of unloaded Ag-AFS was positive (+ 25.26 mV) due to the protonation of surface –NH₂ groups. After curcumin encapsulation, the CUR@Ag-AFS hybrid system exhibited a zeta potential of + 4.81 mV, attributed to the combined effect of curcumin’s phenolic groups and the amine-functionalized silica interacting during loading, as illustrated in Fig. 4. These functional groups generate ionic linkages and hydrogen bonding, shifting the surface charge towards a less positive value. This potential shift confirms effective curcumin encapsulation and indicates improved formulation stability by reducing particle agglomeration and ensuring uniform dispersion which is crucial for rehabilitation-related drug delivery systems34.
Zeta potential distribution of Ag-AFS and Cur@Ag-AFS demonstrating changes in surface charge following curcumin loading.
Drug loading studies
The loading capacity (LC%) as well as encapsulation efficiency (EE%) of curcumin in the CUR@Ag-AFS formulation were determined using UV–Visible spectrophotometry. The developed hybrid system showed a drug loading of 25% with an entrapment efficiency of 77%, indicating effective incorporation of curcumin within the silver–amine functionalized silica nanoparticles.
High loading capacity is mainly attributed to potential surface area and porous structure of the Ag-AFS nanoparticles, which offer numerous binding sites for the hydrophobic curcumin molecules6. Furthermore, surface amine groups enhance hydrogen bonding and electrostatic interactions, resulting in strong physical adsorption and drug retention within the carrier matrix. These interactions might help stabilize the loaded CUR and prevent premature drug release.
Encapsulation parameters including solvent type, pH, mixing time, nanoparticle mass, and drug concentration were evaluated in preliminary trials. Ethanol provided the highest curcumin solubility and diffusion into the AFS pores. Slightly basic pH (pH 8–9) resulted in reduced loading due to curcumin deprotonation and repulsion from amine groups; therefore, neutral pH conditions were used. Increasing mixing time beyond 24 h did not significantly increase encapsulation, indicating adsorption equilibrium. Higher nanoparticle concentration (above 0.1 g/25 mL) led to precipitation of drug–particle complexes. These optimized parameters contributed collectively to the final EE (77%) and LC (25%)35.
In vitro drug release behaviour
In vitro drug release profile of CUR@Ag-AFS hybrid system was conducted in phosphate-buffered saline (PBS) with pH adjusted to 5.5, 6.8, and 7.4 to mimic the acidic cancer cell interior, the slightly acidic tumor environment, and physiological conditions, respectively, as illustrated in Fig. 5. An initial burst release occurred in the first hour followed by 24 h sustained release. At pH 5.5, the cumulative drug release reached 91.6%, due to possible increased solubility and interaction of curcumin in the tumor-like microenvironment. At pH 6.8, the release was moderate (70.5%), while at pH 7.4, the total release was lowest (53.6%), demonstrating the pH-sensitive nanocarrier system. The presence of silver nanoparticles within the composite may further facilitate drug release through their synergistic effect, disrupting local microenvironments and promoting controlled diffusion. Meanwhile, the amine-functionalized silica matrix offers a highly porous and stable framework that facilitates both diffusion-controlled and erosion-mediated release, enabling sustained and targeted delivery of curcumin36.
This pH-sensitive behaviour indicated that CUR@Ag-AFS can potentially deliver curcumin preferentially to acidic tumor tissues while minimizing release under normal physiological conditions as illustrated in Scheme 1, thereby reducing premature drug release and side effects. The initial burst is attributed to surface-adsorbed drug, whereas the controlled release is due to slow diffusion from the silica matrix and controlled interaction with the functionalized carrier. The low standard deviation across triplicate measurements (± 0.3–0.7) confirms good reproducibility of the release data37.
The experimental data were tested for kinetic analysis as presented in Table 2. The Zero-order model exhibited a moderate fit under conditions of pH 5.5 (acidic) and pH 6.8 (slightly acidic), but was less effective at neutral pH (7.4). The First-order kinetics showed comparatively better fitting at all pH conditions, suggesting that drug release kinetics are partially influenced by the residual concentration. Higuchi model demonstrated a good fit, indicating that diffusion is a significant factor in the release mechanism. Among all models, Korsmeyer–Peppas model best described the mechanism, with an exponent (n) value below 0.45 at all investigated pH conditions, indicating that curcumin delivery primarily follows Fickian diffusion. The reported results confirm that the developed CUR@Ag-AFS hybrid system offers efficient drug loading capacity, sustained and pH-responsive release, and potential for targeted curcumin delivery to tumor sites with minimized premature release in normal tissues. The kinetic modelling (Higuchi and Korsmeyer–Peppas) and n exponent (< 0.45) confirmed that the release is primarily governed by Fickian diffusion through the porous silica matrix. The faster release at acidic pH suggested weakening of electrostatic/ionic interactions between the drug and the functionalized silica, which facilitates diffusion. Therefore, diffusion combined with pH-dependent interaction strength is the prevailing release-control mechanism.
These results align well with previous reports. For instance, Mohebian et al. (2021) showed that curcumin-loaded amine-functionalized mesoporous silica nanoparticles exhibited approximately 85–90% cumulative release under acidic conditions over 24 h, demonstrating effective sustained release behaviour24. Similarly, Chen et al. (2018) and Ghobadi et al. (2024) reported comparable pH-responsive release profiles for curcumin encapsulated in mesoporous silica systems, highlighting the role of silica frameworks in achieving controlled and targeted delivery19,36. Kumari et al. (2023) developed chitosan succinate-g-amine functionalized mesoporous silica nanoparticles and reported a sustained, pH-controlled release of the loaded drug over 24 h, demonstrating that functionalized silica frameworks can effectively modulate drug release in response to environmental pH, consistent with the release behavior observed for CUR@Ag-AFS in our study38. The consistency of these results highlights the potential of CUR@Ag-AFS formulation developed in this study to achieve a controlled, sustained, and tumor-targeted release consistent with established nanocarrier systems.
In vitro release profile of curcumin from CUR@Ag-AFS hybrid nanoparticles at pH 5.5, pH 6.8 and pH 7.4.
Schematic illustration of curcumin encapsulation into Ag-AFS nanoparticles and its pH-triggered release mechanism.
Cytotoxicity assay
Cancer still poses a serious health concern in the world, and there is a need to find alternative ways of treatment since conventional therapy has a lot of constraints. In this connection, novel nanoparticles, e.g., silica nanoparticles and their functionalized hybrids, have received a lot of attention as universal carriers of the targeted anticancer drug39. The present study tested the cytotoxic capacity of the prepared nanoparticle systems on the MCF-7 cancer cell line, wherein the free doxorubicin (DOX) was used as the positive control. Figure 6 shows the three different concentrations (25, 50, and 100 µg/mL) of the formulations that were evaluated. The cytotoxicity of the positive control (DOX) was the most strongly felt with all doses and indicates its stronger chemotherapeutic effect40. Conversely, pure curcumin (CUR) exhibited great cytotoxic properties, which is correlated with its established capacity to cause apoptosis by disrupting the mitochondria and halting the cell cycle, even though this compound has weaknesses in terms of low water solubility and low bioavailability17.
The CUR@Ag-AFS hybrid formulation showed the best cytotoxicity following DOX compared to free CUR, Ag-AFS, AFS, and bare silica nanoparticles (SiNPs). This suggests that co-loading of curcumin and silver ions into a silica structure with an amine functional group produces a synergistic effect, a combination of the ROS-mediated apoptotic effect of silver and disruption of the mitochondrial pathway by curcumin. It is probable that the amine functional groups on the silica surface increase cellular uptake and prolong the release of drugs, which increases the therapeutic efficacy. Ag-AFS and free CUR displayed the same cytotoxicity, indicating that both curcumin and silver ions have anti-cancer activity and that the amine-functionalized silica (AFS) intermediate showed moderate cytotoxicity, potentially because of the higher rate of cellular contact and internal uptake of amine groups on its surface. Bare silica nanoparticles exhibited the lowest cytotoxicity, consistent with their limited intrinsic therapeutic activity17,41. The IC₅₀ values calculated from the dose–response curves further supported these observations. The CUR@Ag-AFS hybrid exhibited the strongest anticancer activity (IC₅₀ = 46.2 µg/mL), followed by free curcumin (120.4 µg/mL) and Ag-AFS (123.8 µg/mL). AFS (140.6 µg/mL) and bare SiNPs (> 150 µg/mL) had relatively lower potency in their cytotoxicity. These findings indicated that CUR@Ag-AFS had better therapeutic efficacy. Moreover, the usual morphological changes of MCF-7 cells treated with cytotoxic drugs, indicated by rounding, contraction, reduced adherence and compromised membrane integrity39,42,43. These hallmark patterns were consistent with the observed decreased cell viability in our MTT assay. The microscopic results also supported the cytotoxic trends displayed in MTT assay (Fig. 7).
All nanoformulations demonstrated a distinct dose-dependent cell death, indicating that the hybrid carriers respond effectively to higher doses. The CUR@Ag-AFS hybrid was the most dose responsive that remained with the nanoparticle groups, and this demonstrates the benefit of co-encapsulation in sustained release and increased bioavailability. This is in line with other reports that have shown that mesoporous silica frameworks and amine-functionalized silica structures have a significant enhancement of the stability and therapy of curcumin. Mohebian et al. (2021) found that curcumin-encapsulated amine-functionalized MSNs had strong cytotoxicity evaluated against cells of MCF-724. Elsewhere, Chen et al. (2018) and Ghobadi et al. (2024) explored that mesoporous silica unattached nanocarriers enhanced the levels of cellular uptake of curcumin and its anticancer activity, which aligns with the observed functionality of CUR@Ag-AFS19,36. In addition, Li et al. (2018) focused on the effectiveness of redox-responsive curcumin-loaded silica nanoparticles-based system in the targeted cancer therapy which supports the possibility of the created hybrid system to provide efficient tumour cell inhibition44. Sharifi et al. (2022) reported that curcumin-loaded mesoporous silica nanoparticles (Cur-MSNs) exhibited significantly higher cytotoxicity against HN5 head and neck cancer cells compared to free curcumin, along with increased ROS production and modulation of apoptotic markers such as Bax/Bcl-2. This aligns with our findings for CUR@Ag-AFS, supporting the synergistic anticancer potential of curcumin when delivered via mesoporous silica45. Collectively, these studies suggested that such hybrid nanocarriers offer significant potential for the formulation of highly effective and targeted anticancer therapeutic applications.
Cytotoxicity of DOX, free curcumin (CUR), CUR@Ag-AFS, Ag-AFS, AFS, and SiNPs against MCF-7 cells at different concentrations.
Phase-contrast microscopic images of MCF-7 cells treated with (DOX) control, (a-c) CUR@Ag-AFS, (d-f) CUR, (g-i) Ag-AFS, (j-l) AFS and (M-O) SiNP after 24 h incubation.
Conclusion
In conclusion, this work successfully developed a novel hybrid nanocarrier system comprising curcumin-loaded silver-amine functionalized silica nanoparticles (CUR@Ag-AFS) using a facile and environmentally benign sol–gel method. FTIR spectroscopy confirmed the successful surface functionalization of silica nanoparticles and physical loading of curcumin in the formulation. XRD analysis suggested the amorphous silica framework, the presence of crystalline Ag nanoparticles, and the disappearance of sharp curcumin peaks, indicating its transformation into an amorphous form. TGA and DSC thermograms demonstrated enhanced thermal stability of the hybrid system, while SEM and EDS analyses confirmed uniform spherical morphology, increased porosity, and the presence of key elements (Si, O, N, C, Ag). Zeta potential measurements showed a shift from + 25.26 mV to + 4.81 mV after curcumin loading, indicating stable electrostatic interactions and improved colloidal stability. In vitro drug release findings demonstrated pH-responsive behaviour, with maximum release under acidic conditions (91.6% at pH 5.5) and prolonged release at physiological pH (53.6% at pH 7.4) over 24 h, as evidenced by Fickian diffusion. Additionally, the hybrid system (CUR@Ag-AFS) showed a strong dose-dependent anti-cancer efficacy on MCF-7 cells, which confirmed the synergistic anti-cancer effects of curcumin and silver ions. Overall, developed CUR@Ag-AFS nanocarrier has pH-controlled, targeted drug release, improved stability, and anticancer bioactivity, which have the potential to be used in the future in cancer rehabilitation and disability reduction.
Data availability
All data generated or analysed during this study are included in this published article.
Abbreviations
- SiNPs:
-
Silica nanoparticles
- AFS:
-
Amine-functionalized silica
- Ag-AFS:
-
Silver-amine functionalized silica
- CUR:
-
Curcumin
- CUR@Ag-AFS:
-
Curcumin loaded silver–amine functionalized silica nanoparticles
- CTAB:
-
Cetyltrimethylammonium bromide
- TEOS:
-
Tetraethyl orthosilicate
- APTES:
-
3-aminopropyltriethoxysilane
- EE:
-
Encapsulation efficiency
- DLE:
-
Drug loading efficiency
- UV–Vis:
-
Ultraviolet–visible spectroscopy
- FTIR:
-
Fourier transform infrared spectroscopy
- XRD:
-
X-ray diffraction
- TGA:
-
Thermogravimetric analysis
- DSC:
-
Differential scanning calorimetry
- SEM:
-
Scanning electron microscopy
- EDS:
-
Energy-dispersive X-ray spectroscopy
- PBS:
-
Phosphate-buffered saline
- DMEM:
-
Dulbecco’s modified eagle medium
- FBS:
-
Fetal bovine serum
- HEK-293:
-
Human embryonic kidney 293 cells
- ROS:
-
Reactive oxygen species
- DOX:
-
Doxorubicin
- MTT:
-
3-(4,5-dimethylthiazol-2-yl)-2,5-diphenyltetrazolium bromide
- DMSO:
-
Dimethyl sulfoxide
References
Saghatelyan, T. et al. Efficacy and safety of Curcumin in combination with Paclitaxel in patients with advanced, metastatic breast cancer: A comparative, randomized, double-blind, placebo-controlled clinical trial. Phytomedicine 70, 153218 (2020).
Pareek, A. et al. Development of a new inhaled swellable microsphere system for the dual delivery of naringenin-loaded solid lipid nanoparticles and doxofylline for the treatment of asthma. Eur. J. Pharm. Sci. 193, 106642 (2024).
Gbian, D. L. & Omri, A. Lipid-based drug delivery systems for diseases managements. Biomedicines 10 (9), 2137 (2022).
Dehzad, M. J. et al. Antioxidant and anti-inflammatory effects of curcumin/turmeric supplementation in adults: A GRADE-assessed systematic review and dose–response meta-analysis of randomized controlled trials. Cytokine 164, 156144 (2023).
Liu, Q. et al. Mesoporous silica-coated silver nanoparticles as ciprofloxacin/siRNA carriers for accelerated infected wound healing. J. Nanobiotechnol. 20 (1), 386 (2022).
Iranshahy, M. et al. Curcumin-loaded mesoporous silica nanoparticles for drug delivery: synthesis, biological assays and therapeutic potential–a review. RSC Adv. 13 (32), 22250–22267 (2023).
Huang, L. et al. Silver doped-silica nanoparticles reinforced Poly (ethylene glycol) diacrylate/hyaluronic acid hydrogel dressings for synergistically accelerating bacterial-infected wound healing. Carbohydr. Polym. 304, 120450 (2023).
Mazzaferro, S., Bouchemal, K. & Ponchel, G. Oral delivery of anticancer drugs I: general considerations. Drug Discovery Today. 18 (1–2), 25–34 (2013).
Song, Z. et al. Synergistic antibacterial effects of Curcumin modified silver nanoparticles through ROS-mediated pathways. Mater. Sci. Engineering: C. 99, 255–263 (2019).
Karan, T., Erenler, R. & Moran Bozer, B. Synthesis and characterization of silver nanoparticles using curcumin: cytotoxic, apoptotic, and necrotic effects on various cell lines. Z. für Naturforschung C. 77 (7–8), 343–350 (2022).
Bhubhanil, S. et al. Enhanced wound healing properties of Guar gum/curcumin-stabilized silver nanoparticle hydrogels. Sci. Rep. 11 (1), 21836 (2021).
Sonkar, P. K. & Ganesan, V. Synthesis and characterization of silver nanoparticle-anchored amine-functionalized mesoporous silica for electrocatalytic determination of nitrite. J. Solid State Electrochem. 19, 2107–2115 (2015).
Etienne, M., Lebeau, B. & Walcarius, A. Organically-modified mesoporous silica spheres with MCM-41 architecture. New J. Chem. 26 (4), 384–386 (2002).
Pal, M. & Ganesan, V. Zinc phthalocyanine and silver/gold nanoparticles incorporated MCM-41 type materials as electrode modifiers. Langmuir 25 (22), 13264–13272 (2009).
Popuri, A. K. & Pagala, B. Extraction of Curcumin from turmeric roots. Int. J. Innovative Res. Stud. 2, 289–299 (2013).
Kuthati, Y. et al. Phototherapeutic spectrum expansion through synergistic effect of mesoporous silica trio-nanohybrids against antibiotic-resistant gram-negative bacterium. J. Photochem. Photobiol., B. 169, 124–133 (2017).
Lei, W. et al. Polydopamine-coated mesoporous silica nanoparticles for multi-responsive drug delivery and combined chemo-photothermal therapy. Mater. Sci. Engineering: C. 105, 110103 (2019).
Mehmood, Y. et al. Facile synthesis of mesoporous silica nanoparticles using modified sol-gel method: optimization and in vitro cytotoxicity studies. Pak J. Pharm. Sci. 32 (4), 1805–1812 (2019).
Ghobadi, M. et al. Amine-functionalized mesoporous silica nanoparticles decorated by silver nanoparticles for delivery of doxorubicin in breast and cervical cancer cells. Eur. J. Pharm. Biopharm. 201, 114349 (2024).
Benassi, R. et al. Theoretical study on curcumin: A comparison of calculated spectroscopic properties with NMR, UV–vis and IR experimental data. J. Mol. Struct. 892 (1–3), 168–176 (2008).
Das, G. et al. Comparative study on antidiabetic, cytotoxicity, antioxidant and antibacterial properties of biosynthesized silver nanoparticles using outer peels of two varieties of Ipomoea Batatas (L.) lam. Int. J. Nanomed., 4741–4754. (2019).
Tabasi, H. et al. Synthesis and characterization of amine-functionalized Fe3O4/Mesoporous silica nanoparticles (MSNs) as potential nanocarriers in drug delivery systems. J. Porous Mater. 29 (6), 1817–1828 (2022).
Adamczyk, A. The influence of different types of SiO2 precursors and ag addition on the structure of selected Titania-Silica gels. Crystals 13 (5), 811 (2023).
Mohebian, Z. et al. Anticancer efficiency of curcumin-loaded mesoporous silica nanoparticles/nanofiber composites for potential postsurgical breast cancer treatment. J. Drug Deliv. Sci. Technol. 61, 102170 (2021).
Almaghrabi, M. et al. Evaluating thermogravimetric analysis for the measurement of drug loading in mesoporous silica nanoparticles (MSNs). Thermochim. Acta. 730, 179616 (2023).
Rodrigues, M. C. et al. Biogenic synthesis and antimicrobial activity of silica-coated silver nanoparticles for esthetic dental applications. J. Dent. 96, 103327 (2020).
Fugita, R. et al. Thermal behaviour of Curcumin. Braz J. Therm. Anal. 1 (1), 19–23 (2012).
Ribeiro, T. C. et al. Curcumin-loaded mesoporous silica nanoparticles dispersed in thermo-responsive hydrogel as potential Alzheimer disease therapy. Pharmaceutics 14(9) 1976. (2022).
Narwal, S. et al. Formulation of eutectic mixture of Curcumin with Salicylic acid for improving its dissolution profile. Res. J. Pharm. Technol. 14 (4), 1875–1879 (2021).
Sayyar, Z. & Jafarizadeh-Malmiri, H. Temperature effects on thermodynamic parameters and solubility of Curcumin O/W nanodispersions using different thermodynamic models. Int. J. Food Eng. 15 (1–2), 20180311 (2019).
Mohd, N. K., Khalik, W. M. A. W. M. & Azmi, A. A. Synthesis and characterization of silica-silver core-shell nanoparticles. Malaysian J. Anal. Sci. 23 (2), 290–299 (2019).
Jourghanian, P. et al. Sustained release Curcumin loaded solid lipid nanoparticles. Adv. Pharm. Bull. 6 (1), 17 (2016).
Xiong, L. et al. One-step Preparation and characterization of core-shell SiO2/Ag composite spheres by pulse plating. Sci. Eng. Compos. Mater. 24 (3), 423–427 (2017).
Garg, S. & Garg, A. Encapsulation of Curcumin in silver nanoparticle for enhancement of anticancer drug delivery. Int. J. Pharm. Sci. Res. 9 (3), 1160–1166 (2018).
Pawar, N. et al. Design, characterization and evaluation of curcumin-loaded mesoporous silica nanoparticles based topical drug delivery system for treatment of wrinkles. J. Med. P’ceutical Allied Sci., 2320–7418. (2021).
Chen, C. et al. Rational design of Curcumin loaded multifunctional mesoporous silica nanoparticles to enhance the cytotoxicity for targeted and controlled drug release. Mater. Sci. Engineering: C. 85, 88–96 (2018).
Malek, S. Z. & Arasteh, A. In Vitro regulation of amyloid production in Alzheimer’s disease via curcumin-loaded silver nanoparticles with antioxidant and acetylcholinesterase-inhibiting properties. Molecular Neurobiol. 1–11. (2025).
Kumari, R., Narvi, S. & Dutta, P. Synthesis of Chitosan succinate-g-amine functionalized mesoporous silica: Inorganic-organic nanohybrid for antibacterial assessment, antioxidant activity and pH-controlled drug delivery. Int. J. Biol. Macromol. 234, 123763 (2023).
Syra, M. A. & Devikala, S. Enhancing the antioxidant, antimicrobial resistance, and anticancer potency of plant-mediated SnO2 and se doped P-SnO2 NPs by Justicia adhatoda: an in vitro approach. Inorg. Chem. Commun. 170, 113373 (2024).
Liang, B. et al. Biomimetic theranostic strategy for anti-metastasis therapy of breast cancer via the macrophage membrane camouflaged superparticles. Mater. Sci. Engineering: C. 115, 111097 (2020).
Shakeran, Z. et al. Biodegradable nanocarriers based on chitosan-modified mesoporous silica nanoparticles for delivery of methotrexate for application in breast cancer treatment. Mater. Sci. Eng. C. 118, 111526 (2021).
Kalifathullah, S. K., Alaguvel, S. & Sundaramurthy, D. Efficient synthesis of green nitrogen-doped carbon Dots as a versatile nanoprobe for antibacterial, cytotoxic, in-vitro imaging, and anti-counterfeit applications. Inorg. Chem. Commun. 178, 114473 (2025).
Syra, M. A. & Sundaramurthy, D. Evaluation of Justicia adhatoda-incorporated Tin oxide nanoparticles and CuSe-doped SnO 2 nanocomposites: characterization and enhancement of their antibacterial, antioxidant, and cytotoxic activities using an in vitro approach. New J. Chem. 49 (25), 11032–11047 (2025).
Li, N. et al. Curcumin-loaded redox-responsive mesoporous silica nanoparticles for targeted breast cancer therapy. Artif. Cells Nanomed. Biotechnol. 46 (sup2), 921–935 (2018).
Sharifi, S. et al. Effect of curcumin-loaded mesoporous silica nanoparticles on the head and neck cancer cell line, HN5. Curr. Issues. Mol. Biol. 44 (11), 5247–5259 (2022).
Funding
The authors extend their appreciation to the King Salman Center for Disability Research for funding this work through Research Group No. *KSRG-2024-152..
Author information
Authors and Affiliations
Contributions
Syed Salman Shafqat: Writing – review & editing, Supervision, Conceptualization. Hamza Wakeel: Methodology. Muhammad Zubair: Formal analysis, Validation. Syeda Amna Masood: Investigation, Methodology. Saba Rashid: Writing – review & editing. Rawaiz Khan: Conceptualization, Funding acquisition, Methodology. Ali Bahadar: Investigation, Resources, Funding acquisition. Muhammad Ashfaq: Data curation. Amir Azam Khan: Supervision, Conceptualization.
Corresponding author
Ethics declarations
Competing interests
The authors declare no competing interests.
Additional information
Publisher’s note
Springer Nature remains neutral with regard to jurisdictional claims in published maps and institutional affiliations.
Rights and permissions
Open Access This article is licensed under a Creative Commons Attribution-NonCommercial-NoDerivatives 4.0 International License, which permits any non-commercial use, sharing, distribution and reproduction in any medium or format, as long as you give appropriate credit to the original author(s) and the source, provide a link to the Creative Commons licence, and indicate if you modified the licensed material. You do not have permission under this licence to share adapted material derived from this article or parts of it. The images or other third party material in this article are included in the article’s Creative Commons licence, unless indicated otherwise in a credit line to the material. If material is not included in the article’s Creative Commons licence and your intended use is not permitted by statutory regulation or exceeds the permitted use, you will need to obtain permission directly from the copyright holder. To view a copy of this licence, visit http://creativecommons.org/licenses/by-nc-nd/4.0/.
About this article
Cite this article
Shafqat, S.S., Wakeel, M., Zubair, M. et al. Anticancer activity of curcumin loaded hybrid system of silver-amine functionalized silica nanoparticles. Sci Rep 16, 7026 (2026). https://doi.org/10.1038/s41598-026-37829-9
Received:
Accepted:
Published:
Version of record:
DOI: https://doi.org/10.1038/s41598-026-37829-9







