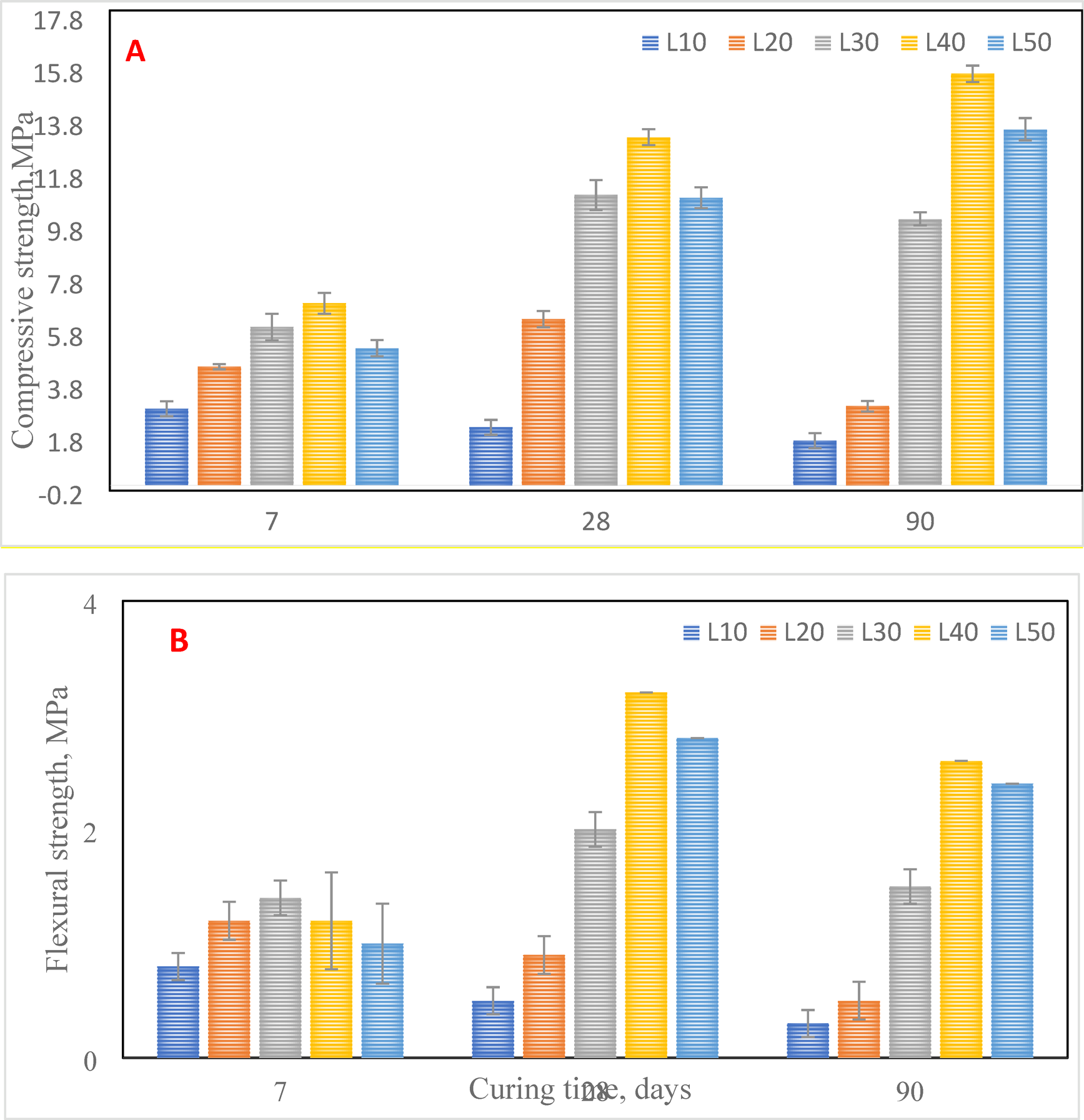
Fig. 8

Mechanical properties of different CCL-HL mortars under different hydration ages, (a) Compressive strength, (b) Flexural strength.

Mechanical properties of different CCL-HL mortars under different hydration ages, (a) Compressive strength, (b) Flexural strength.