Fig. 3
From: Effects of applied magnetic fields on the performance of magnetoplasmadynamic thrusters

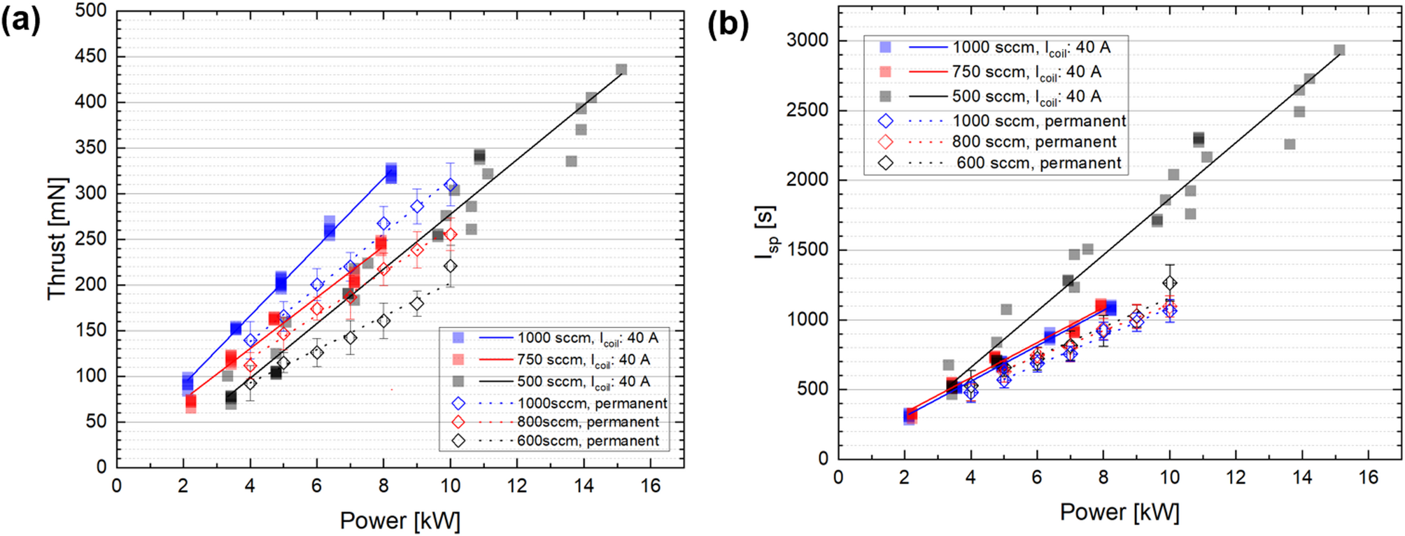
(a) Thrust and (b) specific impulse (Isp) as a function of input power for both electromagnet and permanent magnet configurations. Thrust increased with input power, and higher argon flow rates resulted in higher thrust. Isp showed a linear increase with power in the permanent magnet case, independent of flow rate. In the electromagnet case, Isp increased significantly with power only at the low flow rate of 500 sccm.