Fig. 16
From: ESO based adaptive neural network control for a quadrotor against wind and payload disturbances

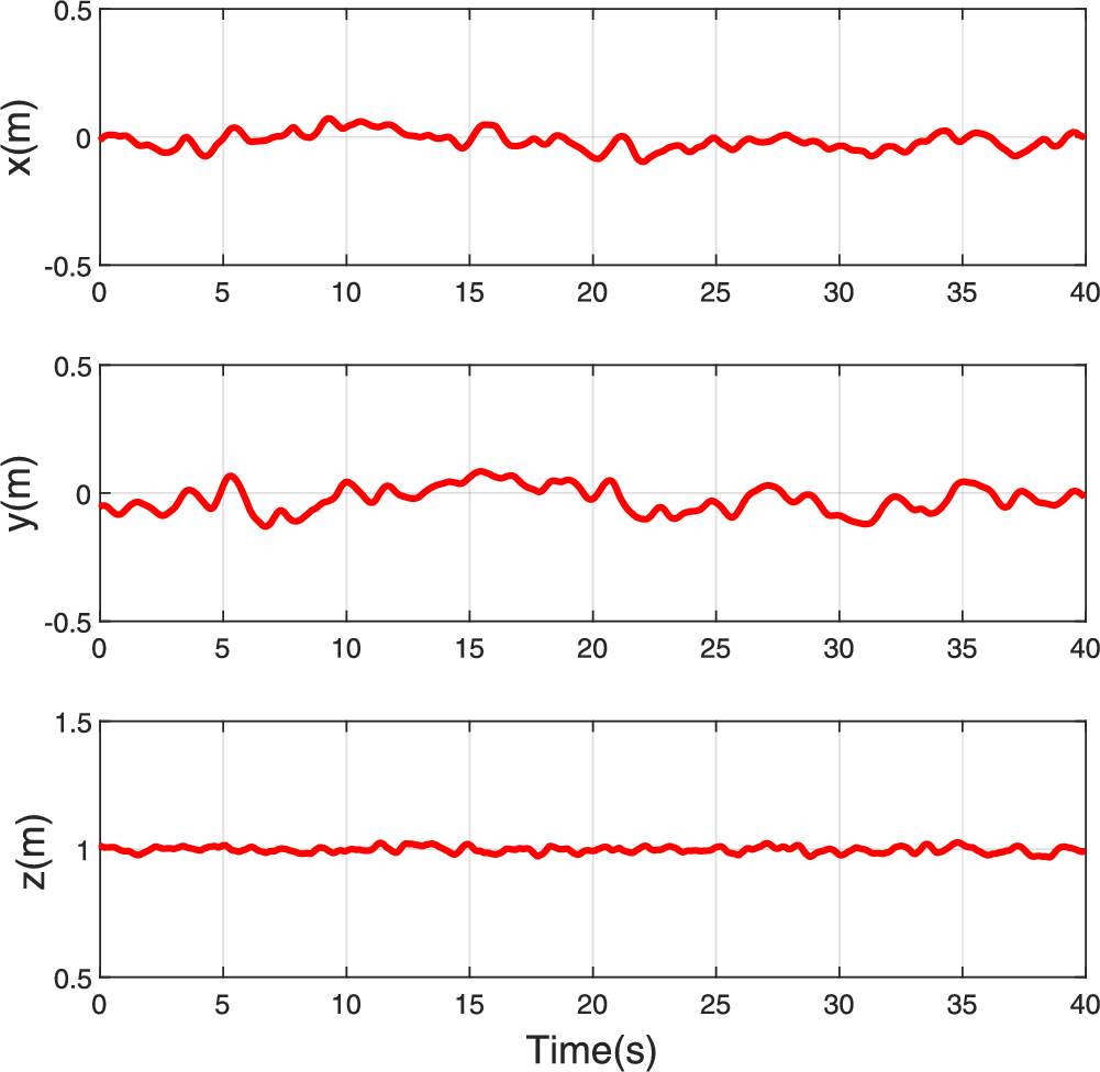
Trajectory tracking performances.
From: ESO based adaptive neural network control for a quadrotor against wind and payload disturbances

Trajectory tracking performances.