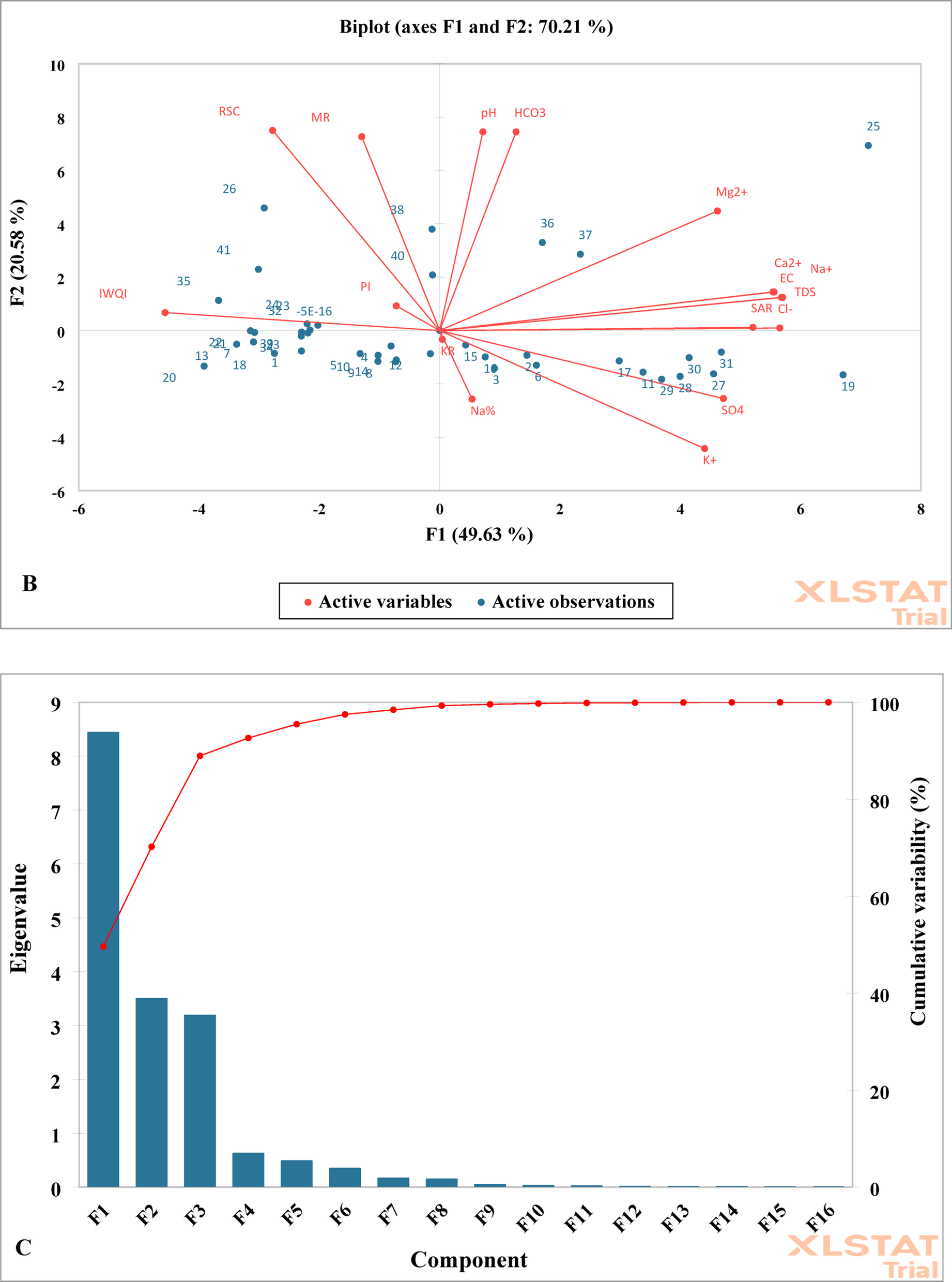
Fig. 12


The Principal Component Groundwater quality parameter analysis: (A) correlation circle displaying the connections between irrigation indices and hydrochemical variables, (B) biplot displaying the connections between active observation and active variables, and (C) screen plot displaying the variance accounted for by each component.