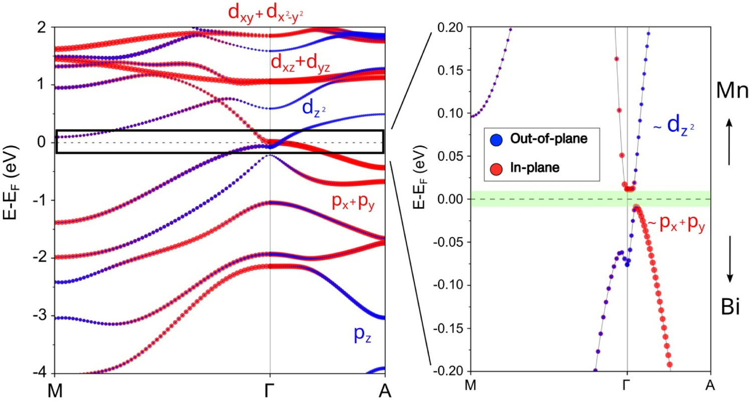
Fig. 3

Band structure of CaMn\(_2\)Bi\(_2\) computed using the GGA+U approach. In red, the projection into the orbitals with in-plane character is shown (Bi p\(_x\), p\(_y\) and Mn d\(_{xy}\), d\(_{x^2-y^2}\), d\(_{xz}\), d\(_{yz}\) ); while in blue, the out-of-plane projection is displayed (Bi p\(_z\) and Mn d\(_{z^2}\) ). In the right panel, the region around the Fermi energy is zoomed in, highlighting the 20 meV narrow band gap of this compound. Obtained using GGA+U+SOC calculations.