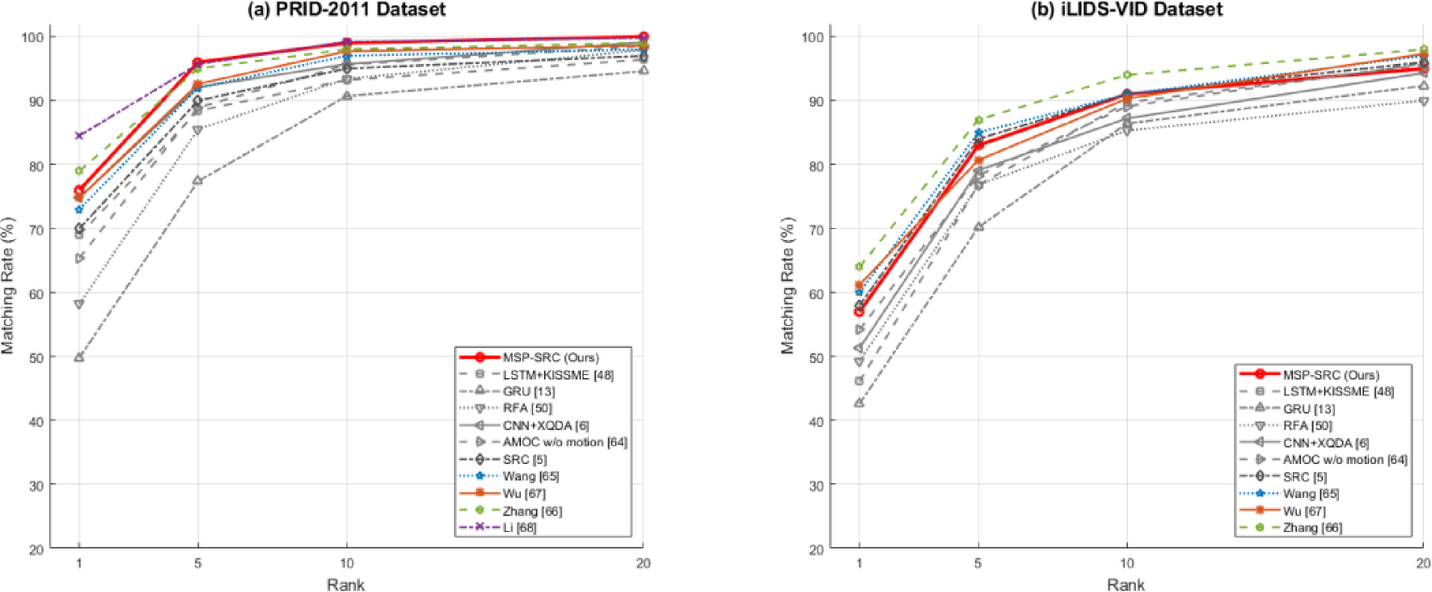
Fig. 9
From: A CNN-RNN Siamese framework with multi-level aggregation for video-based person re-identification

Average CMC curves over 10 independent trials on (a) PRID-2011 and (b) iLIDS-VID datasets. The curves compare MSP-SRC (red solid line) with a broad set of state-of-the-art methods, including Li72, Zhang70, Wu71, Wang69, and conventional baselines such as AMOC68, CNN+XQDA6, and RFA50. MSP-SRC demonstrates robust performance across all ranks, significantly outperforming classical baselines and achieving competitive accuracy against recent Siamese approaches.