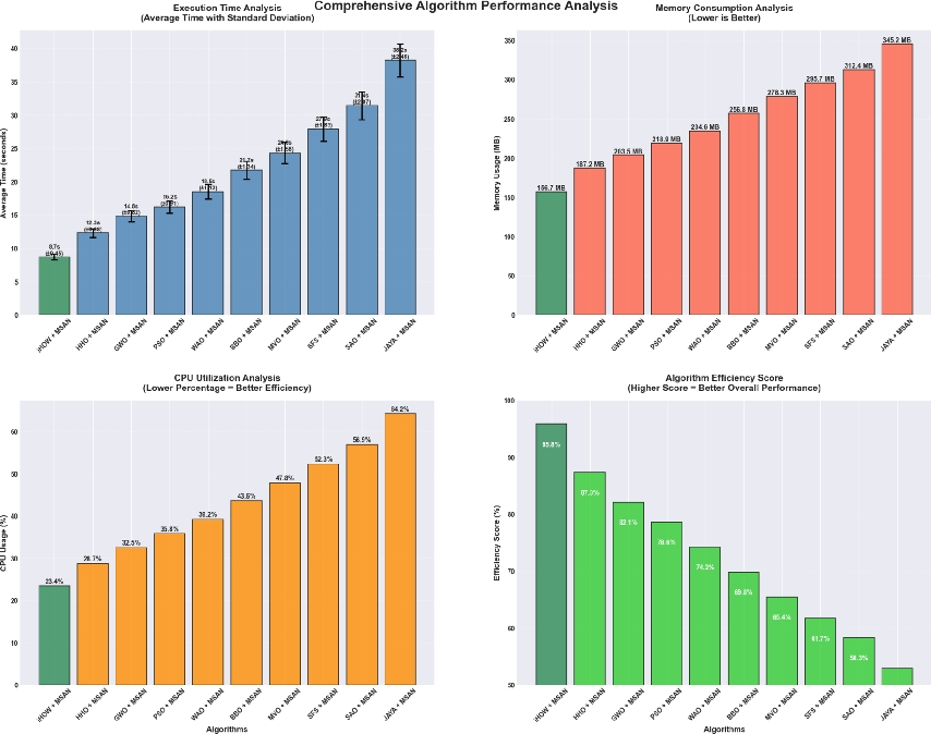
Fig. 21

Comprehensive performance analysis of metaheuristic algorithms integrated with the MSAN forecasting framework, comparing execution time, memory usage, CPU utilization, and overall efficiency score.

Comprehensive performance analysis of metaheuristic algorithms integrated with the MSAN forecasting framework, comparing execution time, memory usage, CPU utilization, and overall efficiency score.