Fig. 2
From: Thermal, vibrational, and electrical properties of high-purity Ag₂Te for advanced applications

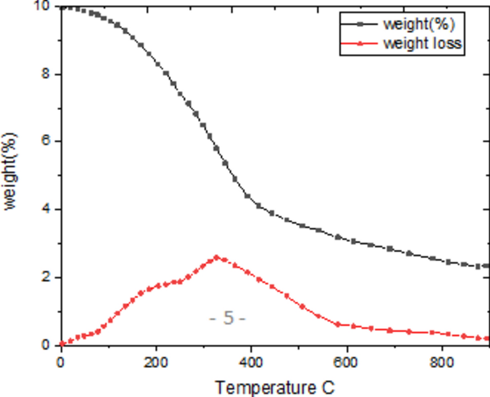
Thermo gravimetric analysis (TGA) plots and weight derivative curves of Ag2Te.
From: Thermal, vibrational, and electrical properties of high-purity Ag₂Te for advanced applications

Thermo gravimetric analysis (TGA) plots and weight derivative curves of Ag2Te.