Fig. 4
From: Thermal, vibrational, and electrical properties of high-purity Ag₂Te for advanced applications

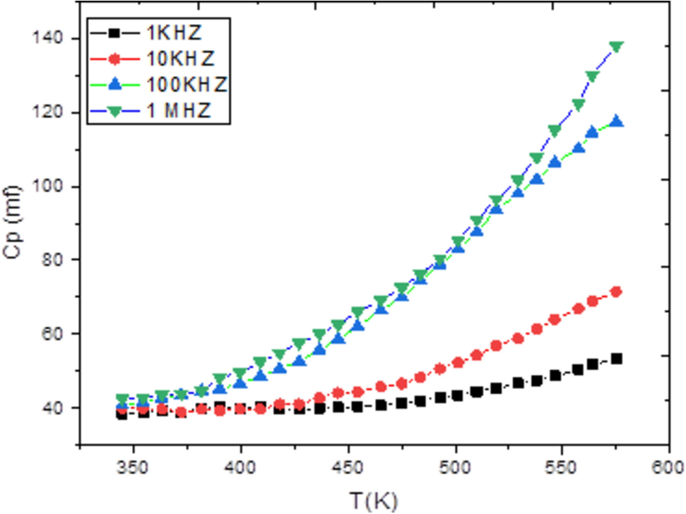
Temperature dependence of capacitance Cp for Ag2Te poly crystalline at different frequencies.
From: Thermal, vibrational, and electrical properties of high-purity Ag₂Te for advanced applications

Temperature dependence of capacitance Cp for Ag2Te poly crystalline at different frequencies.